Cooperativismo y Desarrollo, January-April 2021; 9(1), 93-115
Translated from the original in Spanish

 

Criteria and indicators of forest management for excellence

 

Criterios e indicadores de gestión forestal por la excelencia

 

Critérios e indicadores de gestão florestal de excelência

 

Jineht Pérez Martínez1; María Elena Fernández Hernández2; Diana de la Nuez Hernández3

1 Universidad de Pinar del Río "Hermanos Saíz Montes de Oca". Facultad de Ciencias Económicas y Empresariales. Pinar del Río. Cuba.
https://orcid.org/0000-0002-8160-0475
jperezm@upr.edu.cu

2 Universidad de Pinar del Río "Hermanos Saíz Montes de Oca". Dirección de Relaciones Internacionales. Pinar del Río. Cuba.
https://orcid.org/0000-0002-0406-7398
mfdez@upr.edu.cu

3 Universidad de Pinar del Río "Hermanos Saíz Montes de Oca". Facultad de Ciencias Económicas y Empresariales. Pinar del Río. Cuba.
https://orcid.org/0000-0002-2184-2034
diana@upr.edu.cu

 

Received: 13/10/2020
Accepted: 15/02/2021


ABSTRACT

In Cuban forest sector enterprises, the application of control tools is linked to the process management approach and, in this field, sustainable forest management criteria and indicators are one of the instruments used, although their use is not systemically linked to the strategic management and management control of the sector's enterprises, which reduces the effectiveness of the decision-making process and limits the scope of management. The objective of this contribution focused on proposing a set of criteria and indicators of forest management to evaluate the level of performance of enterprises in the sector on the road to excellence. An exploratory and descriptive research was carried out using a procedure based on a qualitative methodology, which made it possible to identify the main processes of criteria and indicators of sustainable forest management applied at national and international level, codify and categorize them, and formulate a set of four criteria and twenty-seven indicators of forest management for excellence and a map of cause-effect relationships among them. The proposed criteria and indicators of forest management for excellence summarize the elements to be addressed for sustainable forest management and, where appropriate, integrate issues inherent to the enterprise activity in a coordinated and balanced manner with its subsystems.

Keywords: criteria and indicators; management control; excellence; forestry sector


RESUMEN

En las empresas cubanas del sector forestal, la aplicación de herramientas de control se vincula al enfoque de gestión por procesos y, en este ámbito, los criterios e indicadores de gestión forestal sostenible constituyen uno de los instrumentos utilizados, aunque su utilización no se vincula de manera sistémica a la gestión estratégica y al control de gestión de las empresas del sector, lo que resta efectividad al proceso de toma de decisiones y limita el alcance de la gestión. El objetivo de esta contribución se centró en proponer un conjunto de criterios e indicadores de gestión forestal que permitan evaluar el nivel de desempeño de las empresas del sector en el camino hacia la excelencia. Se desarrolló una investigación exploratoria y descriptiva para la que se utilizó un procedimiento basado en una metodología cualitativa, que permitió precisar los principales procesos de criterios e indicadores de gestión forestal sostenible que se aplican a nivel nacional e internacional, codificarlos y categorizarlos, además, se logró formular un conjunto de cuatro criterios y veintisiete indicadores de gestión forestal por la excelencia y el mapa de relaciones causa-efecto entre ellos. Los criterios e indicadores propuestos de gestión forestal por la excelencia resumen los elementos que deben abordarse para una gestión forestal sostenible y, en su caso, integran cuestiones inherentes a la actividad empresarial de forma coordinada y equilibrada con sus subsistemas.

Palabras clave: criterios e indicadores; control de gestión; excelencia; sector forestal


RESUMO

Nas empresas cubanas do sector florestal, a aplicação de instrumentos de controlo está ligada à abordagem de gestão do processo e, neste domínio, os critérios e indicadores de gestão florestal sustentável são um dos instrumentos empregues, embora a sua utilização não esteja sistematicamente ligada à gestão estratégica e ao controlo de gestão das empresas do sector, o que reduz a eficácia do processo de tomada de decisão e limita o âmbito da gestão. O objectivo desta contribuição consistiu em propor um conjunto de critérios e indicadores da gestão florestal para avaliar o nível de desempenho das empresas do sector no caminho para a excelência. Foi desenvolvida uma investigação exploratória e descritiva utilizando um procedimento baseado numa metodologia qualitativa, que permitiu identificar os principais processos de critérios e indicadores de gestão florestal sustentável aplicados a nível nacional e internacional, codificá-los e categorizá-los, e formular um conjunto de quatro critérios e vinte e sete indicadores de gestão florestal de excelência e um mapa de relações causa-efeito entre eles. Os critérios e indicadores propostos de gestão florestal por excelência resumem os elementos a abordar para uma gestão florestal sustentável e, quando apropriado, integram questões inerentes ao negócio de forma coordenada e equilibrada com os seus subsistemas.

Palavras-chave: critérios e indicadores; controlo de gestão; excelência; sector florestal


 

INTRODUCTION

Sustainable forest management has proven to be, in practice, one of the activities that generate the greatest ecological, social and economic benefits for communities, given that it includes decisions and activities aimed at harvesting forest resources in an orderly manner, seeking to meet the needs of today's society without compromising the provision of goods and services for future generations. However, its operability is still limited by a series of technical, legal, financial, logistical, political and market barriers (Abarca Valverde et al., 2020).

In Cuban enterprises in the forestry sector, the application of control tools, linked to sustainability, is associated with the process management approach, given that each of the activities are developed in an interrelated manner, functioning as a coherent system to obtain effective and efficient results. In this context, it is undeniable that enterprise policies must be characterized by a commitment to ecologically sustainable management and, to this end, it is necessary to understand the factors that affect the use of forests (Castillo et al., 2003).

The criteria and indicators of sustainable forest management are part of the evaluation and control elements established and assumed internationally by different countries to evaluate their contribution to forest sustainability; among them are the processes of the International Tropical Timber Organization, Montreal Process, Tarapoto Process for the Amazon, Arid Zone Process for Africa, Pan-European or Helsinki Process, Near East Process, Asian Dry Forest Initiative, African Timber Organization, Lepaterique Process for Central America. The criteria established in these processes define the essential elements against which sustainability is assessed, with specific consideration of the productive and protective functions of forests and forest ecosystems. The indicators, as decision-making instruments, generate numerical, precise and contextualized information that can be applied in the social, economic and natural spheres, according to the needs and objectives established for their use (Rueda, De Cáceres, Cuchí & Brau, 2012 cited by Romero Vargas et al., 2020).

The application of criteria and indicators is generally carried out at regional and national level and it is this "external" approach, and not articulated to enterprise management, which from a general point of view limits the observance of sustainability in its three aspects: ecological, economic and social, at that primary level of management. In addition, and coinciding with Sarandón (2002), quoted by Valdivia et al. (2020), one of the recurrent problems when trying to evaluate or measure sustainability is the confusion regarding what exactly is to be evaluated, this being one of the elements that hinder its implementation.

Based on the literature consulted, it has been verified that, with respect to the evaluation of sustainable forest management, based on criteria and indicators, this is usually of a static nature. In other words, the studies in question refer to the measurement of indicators, without taking into account their temporal evolution. Only a few studies have proposed measuring criteria over the entire planning horizon covered by forest management. Hence the need to integrate management control instruments at the enterprise level in the sector, taking the enterprise strategy and the management project as primary sources of information.

On the road to excellence, forest sector enterprises must adopt a management philosophy in balance with the three dimensions of sustainability, taking into account the disturbances caused by natural elements (such as fire, atmospheric phenomena, pests, etc.), the use of the forest by man, as well as the enterprise variables that influence its management, such as economic resources, technology, infrastructure and human resources.

In this context, the objective of this contribution is to propose a set of forest management criteria and indicators to evaluate the level of performance of the companies in the sector on the road to excellence.

 

MATERIALS AND METHODS

This contribution was based on an exploratory and descriptive research using a qualitative methodology. For this purpose, a three-step procedure is applied: 1) Definition of forest management criteria for excellence, 2) Determination of forest management indicators for excellence, 3) Map of cause-effect relationships.

The concept of sustainable forest management, the processes of sustainable forest management criteria at national and international level, management control oriented to excellence and its application in enterprises of the forestry sector are addressed.

Theoretical methods such as the historical-logical method were used to assess the background of sustainable forest management based on criteria and indicators. Its application made it possible to recognize national and international practices related to the subject and to analyze their particularities. The systemic method allowed to characterize the object of the research, by specifying the interrelation between sustainable forest management and enterprise excellence.

Among the empirical methods, measurement was used to obtain primary information on the application of criteria and indicators at the national and international levels. Documentary analysis was used for this purpose, the results of which were processed and allowed conclusions to be drawn.

 

RESULTS AND DISCUSSION

The procedure applied to determine the criteria and indicators of forest management for excellence for enterprises in the forestry sector consists of three stages (Fig. 1).

Fig. 1 - Structure of the applied procedure
Source: Own elaboration

In the first stage, the qualitative methodology of Bardin (2011), quoted by do Nascimento & Tomazzoni (2017), was applied, based on the analysis of relevant materials and information in three fundamental and consecutive phases. In the first, called pre-analysis, tasks related to the organization of the work, the definition of procedures and an initial review of the documents were accomplished, in order to select relevant and pertinent ones, according to rules of: completeness (nothing was omitted); representativeness (the selected sample represented the universe of the selected criteria and indicators); homogeneity (the data referred to the criteria and indicators of sustainable forest management and were selected, with the application of the same techniques); pertinence (the selected documents deal with the subject under research). This allowed an analytical examination of the criteria and indicators of sustainable forest management, based on the selected literature on the subject. According to Godoy (1995), cited by da Silva et al. (2014), qualitative research includes descriptive and interactive data, in order to understand the phenomena from the perspectives of selected authors in each situation studied.

For the exploration of the material as a second phase, the analysis categories were defined. It was then established that the selected criteria would be used as categories, which allowed the comparison between the different proposals and classifications of criteria for sustainable forest management of different authors at the international level. This option made it possible to apply the procedures of coding (selection of the unit of measurement), classification (grouping by the content of the categories) and categorization (organizing the information in each category and studying the possible correlations among). In this phase, the characteristics and coincidences among the evaluated criteria were identified, which transformed the data into knowledge. The third and last phase of the first stage consisted of processing the results, inferences and interpretations, where conclusions were reached through reflective and critical analysis, which made it possible to form a system composed of four synthetic criteria for sustainable forest management, resulting from the grouping of information contained in the sustainable forest management criteria studied.

The second stage of the applied procedure focused on determining the indicators corresponding to each of the four selected criteria. For this purpose, sector specialists were consulted on the basis of the following selection criteria: 1) Pertinence, 2) Functionality, 3) Availability of information, 4) Reliability of data, and 5) Usefulness.

The analysis and evaluation of the control instruments used in forestry enterprises in Cuba and the previous reflections and conclusions focused on the need and possibility of improving the management control system, with a focus on excellence, allowed its conceptualization, as well as corroborating the pertinence of the evaluation of the criteria and indicators and the calculation of the indicator: Level achieved in the performance towards excellence as part of the management control system, which allows to assess the enterprise's contribution to sustainable development and to the satisfaction of local, national, international and inter-institutional interests.

The map of cause-effect relationships of the indicators selected by criteria was determined as a complementary tool of management control for excellence. For this purpose, the logic of the Kaplan and Norton (2004) methodology was applied, by means of which it is possible to articulate, through the establishment of cause-effect relationships, the criteria and their objectives, the indicators associated with each one, as well as the risks of the processes involved in the fulfillment of these criteria.

The results of the application of the procedure are focused on:

Stage 1. Result - Criteria and indicators of forest management for excellence

According to Pérez et al. (2020), the excellence-oriented management control process for enterprises in the forestry sector is a systemic and strategic process aimed at monitoring and measuring results based on performance standards, the evaluation of associated risks and relevant and timely information, which allows senior management to adjust actions to gradually achieve a state of sustained success, contributing to the satisfaction of the needs and expectations of stakeholders. All this based on the forest management project and the criteria for sustainable forest management.

Given that forest management is essentially an administrative process (Aguirre Calderón, 2015), it is considered that the "criteria and indicators for sustainable forest management" constitute a management control tool in enterprises in the forestry sector, since they have the capacity to be used for the conceptualization, practical implementation and scope of the progress made in sustainable forest management at the level of region, country, including forest management units (silvicultural units).

These criteria have a background of discussions on "sustainability" dating back to 1713. In Hans Carl von Carlowitz's publication "Economic Forestry", the principle of "continuous timber production" was established in forestry science and this date was considered the birth of the term "sustainability" in this area. Centuries later, in 1987, the term was expanded in the Brundtland Report of the World Commission on Environment and Development, considering environmental, social, economic and political-institutional dimensions. This principle has been an important pillar for the United Nations Conference on Environment and Development in "Rio 1992", since it was the first international political attempt to combine economic development with conservation objectives under the principle of "sustainability". As a result of this conference in the Intergovernmental Panel on Forests (1995-1997), the importance of monitoring trends and progress in sustainable forest management has been recognized and reaffirmed by the United Nations Forum on Forests (UNFF) and the Food and Agriculture Organization of the United Nations (FAO). The basis of the general principles for establishing the different criteria and indicators of sustainable forest management was identified by the UNFF and FAO in 2003 and referred to seven aspects: 1) area of forest resources, 2) biological diversity, 3) forest health and vitality, 4) productive functions, 5) protective functions, 6) socioeconomic functions and 7) political, legal and institutional framework.

Since then, a wide variety of regional approaches to sustainable forest management, known as "processes", have emerged. In the Americas, these include the Montreal Process for boreal and temperate forests, the Lepaterique Process for Central America and the Tarapoto Process for the Amazon; the processes of the International Timber Organization, the Pan-European Process, the African Arid Zone Process, the Near East Process, the Asian Dry Forest Initiative and the African Timber Organization are also recognized, for a total of nine, to which are added the proposals of Herrero (2004) and Cué (2015) in the Cuban context. All these proposals assume "criteria"; hence it is important to emphasize that, in this research, "criterion" is assumed to be a condition that a given activity, action or process must meet to be considered according to the standard with which it is compared.

The study of the criteria for sustainable forest management, based on the materials and authors selected, showed that these criteria are assumed for contexts where forest management units respond to different forms of ownership and therefore, generally, a criterion related to the "existence of an adequate legal and institutional framework for sustainable forest management" is established. Depending on the context in which this criterion is adopted and who manages the forest estate, it is important to establish what is considered to be an "adequate framework" and for whom it is considered adequate, since the social impacts associated with forest ecosystems sometimes go beyond what is permissible and foreseen for these ecosystems. The valuation of an environmental impact and the consequent acceptance or rejection of the action that produces it require a deep knowledge of the activity-environment relations, a multifaceted preparation, a special ability to find the way to measure it and a criterion to value it (Espinoza Nájera et al., 2012). Hence, it is considered that the need to verify whether or not there are legal instruments for this purpose in a country does not mean that sustainable forest management is guaranteed, since they may not be applied even when they exist and, therefore, the condition established by the criterion is not met. The analysis corroborated the relevance of integrating the country's current regulatory framework into strategic business management, with a view to improving the performance of sustainable forest management.

Therefore, this research assumes that it is of vital importance to improve the results of sustainable forest management by integrating the current regulatory framework into the enterprise's strategic management.

Another of the sustainable forest management criteria analyzed focuses on the maintenance and conservation of biological diversity and forest resources, such as soil and water. These are among the most studied internationally, given that in the sustainable management of forest stands it is essential to conserve biodiversity, conserve forest composition, its associated values and the ecosystem landscape (López Hernández et al., 2017).

In this criterion, no recommendations are made at the indicator level, except in the Lepaterique Process, where a methodology focused on achieving sustainability in the area of biodiversity is proposed at the management unit level. The analysis for the operationalization of this criterion at the enterprise level made it possible to establish the integration of the aspects related to the elements that interact in the forest, both biotic and abiotic, in one criterion, since it was considered that this would facilitate its more coherent insertion into the enterprise management system, which contributes to the enterprise incorporating its evaluation in a significant way to the management control and decision making process.

Sustainable production was another of the criteria analyzed; it is evaluated in all the proposals described in the literature on the subject, given the relevance and need to encourage forest production on a sustainable basis, the promotion of plantations in quantity and diversity, as well as the production of second transformation goods for the consumption of the population. This is one of the criteria that includes activities which, in the long term, are oriented towards increasing customer satisfaction, as it reflects the effectiveness of the activities of the entire forestry production chain.

On the other hand, the spatial approach of the proposals for sustainable forest management criteria, both national and international, was analyzed. As a result, a top-down design is distinguished, which is a limitation for the development of the monitoring process of the economic and social functions of the forest according to local needs. The key to any participatory monitoring system, according to Martínez et al. (2019), is that the indicators are oriented towards measures and actions that allow influencing the user's environment and that the latter are involved in data collection. For this reason, the indicators must be in full correspondence with the characteristics of the enterprises in the forestry sector, the assets they manage and the territory to which they belong.

The analysis of the criteria, as well as the feasibility of their insertion into the enterprise management system and their monitoring and evaluation, with the aim of eliminating their treatment in an isolated, asystemic manner and to satisfy the information requirements of external entities, made it possible to propose sustainable forest management criteria, integrated into the management control system for these enterprises, to evaluate performance in a comprehensive manner and in terms of more effective results in the three areas of sustainability: economic, social and ecological. This approach would ensure that management is oriented towards the fulfillment of the criteria, incorporating a philosophy that should characterize the entities of the forestry sector, since the vision focused on sustainability should cut across the daily performance and its evaluation.

The criteria defined in this research do not disregard the previous proposals; the criteria of forest management for excellence are conceived from an integrating point of view in terms of their insertion and evaluation through management control.

Four criteria are obtained, a lower number than those proposed by Herrero (2004) and Cué (2015) for the Cuban context, however, according to the objective outlined in the research, the integration of aspects that allow the evaluation of sustainable forest management linked to the performance of subsystems and processes of the enterprise, human talent, innovation and contribution to local development was achieved. Risk management is inserted and privileged, all of which contributes to achieve a more objective evaluation of the transition towards excellence.

The criteria were determined on the basis of:

Based on the identification of the characteristics and coincidences between the national and international criteria evaluated, a system composed of four forest management criteria was created and elements of the Cuban enterprise context were considered (the regulatory framework, the level of enterprise subordination and the main resource it manages, among others) that influence the increase in the effectiveness of performance focused on enterprise excellence.

The above allows assuming the denomination of "forest management criteria for excellence" instead of "sustainable forest management criteria", since considering them as excellence implies sustainability. The proposed criteria are as follows:

1) Existence of conditions for excellence-oriented forest management

This criterion recognizes and evaluates the material, economic, technological, human and other conditions of the enterprises in the forestry sector. It includes the analysis of the economic and institutional environment of the enterprises, which constitutes the contextual framework for the evaluation of the rest of the forest management criteria for excellence. It refers to the financial, technological and human resources capacity and the characteristics of the forest assets which, together with the forestry management project, are considered in the strategic planning in accordance with the Cuban regulatory framework, as well as the specific regulations for the enterprises in the sector.

2) Establishment, maintenance and conservation of the integrity of the forest ecosystem

This criterion considers the establishment, maintenance and conservation of the health and vitality of the forest ecosystem; it is evaluated based on the information gathered on the impacts of biotic agents (diseases, insects, invasive species) and abiotic agents (fires, storms, deforestation) on the ecosystem, as well as material, economic, technological and human conditions, among others, according to criterion 1), and management strategies must be formulated to minimize and mitigate risks that could generate impacts such as the loss of forest benefits and the degradation of environmental quality.

3) Sustainable forest production

This criterion evaluates results related to productivity and diversification of forest products and services, effectiveness in the use of resources, as well as other results that characterize productive performance. Forest management aimed at diversifying the production of goods and services, under principles of economic, ecological and social sustainability, is one of the most viable and attractive options for the conservation of these ecosystems.

4) Strengthening and contribution to the local economy

This criterion evaluates how the enterprises in the forestry sector are linked to and contribute to the development of the territory and the locality where they operate as job generators for the inhabitants, who contribute part of the profits for reinvestment in the territory. They develop projects that generate products and services that benefit the communities and the enterprise's workers, produce goods that replace imports and others destined for export, which helps to minimize dependence on a limited supply of forest products, encourage forest conservation and promote territorial development.

The formulation of forest management criteria for excellence adopts the philosophy of openness to change, favoring the definition of results and goals based on their observance, as well as the best combination of inputs, activities and products to achieve them.

Stage 2. Result - Indicators associated with the criteria of forest management for excellence

Forest sector enterprises must be able to measure their performance with respect to the achievement of sustainable forest management and the instruments for this purpose must respond to this objective in its three aspects: economic, ecological and social. In this regard, some indicators have been criticized as general and imprecise.

In this aspect, it is considered that some indicators associated with sustainable forest management criteria, at the international level, focus on variables that do not depend on the dynamics of the enterprise level, for example, the "existence of laws that favor sustainable forest management", which emanate from a national or regional level. The formulation of indicators that correspond to all the processes of the enterprises in the forestry sector is more effective for decision making.

The forest management project and the enterprise strategy constitute substantive elements of the planning process of forest sector enterprises. The former, according to Law No. 85, Forestry Law, "comprises administrative, economic, legal, social, technical and scientific operations carried out for the adequate establishment, management, conservation and sustainable use of forests" for a ten-year period, and the latter is the guiding document for the enterprise's activities, through the establishment of objectives in accordance with the enterprise's social purpose.

In order to exercise management control, these enterprises collect data and prepare information to meet the requirements of the National Statistics and Information Office, as well as for evaluation and decision making. Essentially, this is a system of indicators for controlling the economic-financial efficiency of the enterprises, which limits the analysis only to this area of management; therefore, managers focus their actions on compliance and, to a lesser extent, on the analysis of other strategic issues related to clients, the impact on the natural environment, technology, the environment, among other things.

The evaluation of the performance of the enterprises in the forestry sector, with respect to the specific issues of the forest, is carried out based on the "criteria and indicators of sustainable forest management" adapted to the national context by Herrero (2004) and Cué (2015), in an isolated and asystematic manner. Thus, in this research, given that the performance of these enterprises is directly linked to natural resources, excellence-oriented management control for enterprises in the forestry sector is defined as: the systemic and strategic process, aimed at monitoring and measuring the results of the activity on the basis of performance standards, the evaluation of associated risks and relevant and timely information, which allows decisions to be made to gradually achieve a state of sustained success that contributes to the satisfaction of the needs and expectations of stakeholders; all this based on the forest management project and the criteria of forest management for excellence.

Based on this definition and the adoption of the criteria of forest management for excellence, the indicators are structured as shown in table 1.

Table 1 - Indicators for excellence-oriented management control in enterprises in the forestry sector

Criterion I:  Existence of conditions for excellence-oriented forestry management

1

Total Annual Revenues

2

Profitability

3

Profit Margin

4

% of budget spent on research

5

Investment budget execution index

6

Employee satisfaction index

7

Performance evaluation

8

Technical status of transportation

9

Relative forest cover index IBR

10

Index of established permanent plots Ppe

Criterion II:  Establishment, maintenance and conservation of the integrity of the forest ecosystem

11

Silvicultural Treatments Index (ITS in Spanish)

12

Index of forest reconstruction (IRB in Spanish)

13

Index of forest area affected by exotic species and plagues (Ise in Spanish)

14

Fire Affected Area Index (Isi in Spanish)

15

Cumulative carbon capacity per unit area (CCS in Spanish)

Criterion III:  Sustainable forest production

16

Plantation Effectiveness (Ep in Spanish)

17

Compliance with planned production volume

18

Diversification of production

19

Energy efficiency coefficient

20

Environmental profitability

21

Contingency coefficient

22

Customer satisfaction level

Criterion IV:  Strengthening and contributing to the local economy

23

% of products destined for export

24

% of products substituting imports

25

Innovation coefficient

26

Number of projects promoted

27

Number of direct and indirect workers

Source: Own elaboration based on the proposals of Herrero (2004) and Cué (2015)

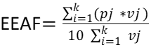
The indicators of each criterion allow, through expression (1), to determine the level of excellence of the enterprises in the forestry sector based on the ranges in table 2.

The level of excellence of enterprises in the forestry sector is calculated as follows:

        (1)

Where:

EEAF: Level of Excellence in Enterprises in the forest sector

Pj: score given to the indicator

Vj: relative weight or weighting of the indicators

K: number of indicators

The number 10 represents the range of evaluation of the result of the performance standards of the indicators, from 1 to 10 where 1 (very bad) and 10 (very good).

It is possible, from the level of excellence calculated by the mathematical expression and the location of the result on the Scale, according to Table 2, to determine the level of performance of the enterprises in the forestry sector, based on the criteria of forest management for excellence, which allows guiding actions for improvement.

The rating scale was adapted from the performance levels of the ISO 9004: 2009 standard, as shown in table 2.

Table 2 - Enterprise performance assessment scale

Level

Intervals

Performance

Orientation

I

0.80

1. 00

Excellent enterprise

Orientation towards excellence (total quality)

II

0.60

0.80

Enterprise with emphasis on continuous improvement

Orientation towards quality management (efficacy)

III

0.40

0.60

Enterprise with proactive approach to improvement

Effectiveness orientation (results)

IV

0.2

0.40

Enterprise with reactive approach to improvement

Efficiency orientation (use of resources)

V

0

0.20

Enterprise with no formal approach to improvement

No results or poor and imperceptible results

Source: Own elaboration

Stage 3. Result - Map of cause-effect relationships between criteria and indicators of forest management for excellence

The map of theoretical cause-effect relationships was created (Fig. 2), based on the criteria and indicators of forest management for excellence, which in this case are those that describe the process of value creation, through a series of relationships between the objectives and indicators of each criterion, which contributes, from this perspective, to improve the management process, its conduction and timely decision making.

Fig. 2 - Map of cause-effect relationships between criteria and indicators of forest management for excellence
Source: Own elaboration

This planning and control tool can contribute to monitoring the evolution of indicators by area of responsibility, as well as testing the hypotheses established for each of the criteria of forest management for excellence.

In the case of enterprises in the forestry sector, the cause-effect relationship map considers the balance of contradictory forces, such as growth, customer satisfaction and environmental sustainability, which implies a commitment to the long term and the creation of a sustainable source of value.

The proposed criteria and indicators of forest management for excellence summarize the elements that must be addressed for sustainable forest management and, where appropriate, integrate issues inherent to the business in a coordinated and balanced manner with its subsystems.

The indicators designed allow the visualization of the status of each criterion in terms of excellence, while facilitating the strategic planning process. The evaluation of the level of performance, with respect to excellence, according to the established ranges, enables the process of continuous improvement and feedback with respect to the gaps.

The dynamic environment in the management of enterprises in the forestry sector will demand new challenges in research, allowing the improvement and integration of the variables of planning, organization, execution and control to generate better decision-making schemes with a view to excellence, taking into account the risks for the fulfillment of the goals established at national and international level, new alternatives in the management of forests and their efficient use.

 

REFERENCES

Abarca Valverde, P., Meza Picado, V., & Méndez Gamboa, J. (2020). Evaluación de tratamientos silviculturales en la sostenibilidad de bosques tropicales en la Región Huetar Norte, Costa Rica. Revista de Ciencias Ambientales, 54(1), 140-166. https://doi.org/10.15359/rca.54-1.8

Aguirre Calderón, O. A. (2015). Manejo Forestal en el Siglo XXI. Madera y Bosques, 21(spe). https://doi.org/10.21829/myb.2015.210423

Castillo, F. J., Bosco Imbert, J., Blanco, J. A., Traver, C., & Puertas, F. (2003). Gestión forestal sostenible de masas de pino silvestre en el Pirineo Navarro. Ecosistemas, 12(3). https://doi.org/10.7818/ECOS.228

Cué García, J. L. (2015). Criterios e indicadores del manejo forestal sostenible: Una alternativa para su monitoreo. Revista Cubana de Ciencias Forestales, 3(2), 183-193. http://cfores.upr.edu.cu/index.php/cfores/article/view/128

da Silva, J. A., Pastor Tejedor, A. C., & Pastor Tejedor, J. (2014). El uso del cuadro de mando integral como instrumento de medición para comparar los modelos de excelencia en gestión. Revista Ibero Americana de Estratégia, 13(4), 18-32. https://doi.org/10.5585/ijsm.v13i4.2013

do Nascimento Sousa, E., & Tomazzoni, E. L. (2017). El análisis de contenido en las investigaciones turísticas en Brasil: ¿qué muestran las revistas brasileñas de turismo? Estudios y perspectivas en turismo, 26(1), 42-61. https://dialnet.unirioja.es/servlet/articulo?codigo=6324196

Espinoza Nájera, C., González Alafita, O., & Vargas Carballo, R. (2012). La evaluación del impacto ambiental y el desarrollo sustentable. Estudio de caso San Pedro Mixtepec, Juquila, Oaxaca. Revista Chapingo Serie Ciencias Forestales y Del Ambiente, 18(1), 87-99. https://doi.org/10.5154/r.rchscfa.2010.11.130

Herrero Echevarría, J. A. (2004). Criterios e indicadores de manejo forestal sostenible. Una visión de futuro. Agencia de Información y Comunicación para la Agricultura (Agrinfor). https://isbn.cloud/9789592461437/criterios-e-indicadores-de-manejo-forestal-sostenible-una-vision-de-futuro/

Kaplan, R. S., & Norton, D. P. (2004). Mapas Estratégicos. Gestión 2000.

López Hernández, J. A., Aguirre Calderón, Ó. A., Alanís Rodríguez, E., Monarrez González, J. C., González Tagle, M. A., & Jiménez Pérez, J. (2017). Composición y diversidad de especies forestales en bosques templados de Puebla, México. Madera y Bosques, 23(1), 39-51. https://doi.org/10.21829/myb.2017.2311518

Martínez Salvador, M., Sosa Pérez, G., Chacón Sotelo, J. M., Pinedo Álvarez, A., Villarreal Guerrero, F., & Prieto Amparan, J. A. (2019). El monitoreo forestal por medio de Sitios Permanentes de Investigación Silvícola en Chihuahua, México. Revista mexicana de ciencias forestales, 10(55), 56-78. https://doi.org/10.29298/rmcf.v10i55.511

Pérez Martínez, J., Fernández Hernández, M. E., & de la Nuez Hernández, D. (2020). Indicadores para el control de gestión orientado a la excelencia, por un desarrollo integral forestal. Cooperativismo y Desarrollo, 8(1), 57-67. http://coodes.upr.edu.cu/index.php/coodes/article/view/254

Romero Vargas, M., Bermúdez Roja, T., & Duque Gutiérrez, M. (2020). Evaluación cualitativa de indicadores de sostenibilidad socioambiental para su selección y aplicación en ciudades costarricenses. Revista Geográfica de América Central, 1(64), 17-41. https://doi.org/10.15359/rgac.64-1.1

Valdivia Espinoza, L. A., González Manrique de Lara, T. F., & Julca Otiniano, A. M. (2020). Sustentabilidad ambiental de las concesiones forestales en el departamento Huánuco, Perú. Madera y Bosques, 26(3). https://doi.org/10.21829/myb.2020.2632062

 

Conflict of interest:

Authors declare not to have any conflict of interest.

 

Authors' contribution:

Jineht Pérez Martínez: contribution in the conception of the idea, design of the study, search and review of the literature, collection of information, analysis of data, preparation of the draft, translation of terms, correction of the article, review of the application of the bibliographic standard.

María Elena Fernández Hernández: contribution to the search and review of the literature, information gathering, data analysis, proofreading of the article.

Diana de la Nuez Hernández: contribution to the search and review of the literature, collection of information, translation of terms, proofreading of the article

All the authors reviewed the writing of the manuscript and approve the version finally submitted.

 


This work is licensed under a Creative Commons Attribution-NonCommercial 4.0 International License
Copyright (c) Jineht Pérez Martínez; María Elena Fernández Hernández; Diana de la Nuez Hernández