Cooperativismo y Desarrollo, enero-abril 2021; 9(1), 93-115

 

Criterios e indicadores de gestión forestal por la excelencia

 

Criteria and indicators of forest management for excellence

 

Critérios e indicadores de gestão florestal de excelência

 

Jineht Pérez Martínez1; María Elena Fernández Hernández2; Diana de la Nuez Hernández3

1 Universidad de Pinar del Río "Hermanos Saíz Montes de Oca". Facultad de Ciencias Económicas y Empresariales. Pinar del Río. Cuba.
https://orcid.org/0000-0002-8160-0475
jperezm@upr.edu.cu

2 Universidad de Pinar del Río "Hermanos Saíz Montes de Oca". Dirección de Relaciones Internacionales. Pinar del Río. Cuba.
https://orcid.org/0000-0002-0406-7398
mfdez@upr.edu.cu

3 Universidad de Pinar del Río "Hermanos Saíz Montes de Oca". Facultad de Ciencias Económicas y Empresariales. Pinar del Río. Cuba.
https://orcid.org/0000-0002-2184-2034
diana@upr.edu.cu

 

Recibido: 13/10/2020
Aprobado: 15/02/2021


RESUMEN

En las empresas cubanas del sector forestal, la aplicación de herramientas de control se vincula al enfoque de gestión por procesos y, en este ámbito, los criterios e indicadores de gestión forestal sostenible constituyen uno de los instrumentos utilizados, aunque su utilización no se vincula de manera sistémica a la gestión estratégica y al control de gestión de las empresas del sector, lo que resta efectividad al proceso de toma de decisiones y limita el alcance de la gestión. El objetivo de esta contribución se centró en proponer un conjunto de criterios e indicadores de gestión forestal que permitan evaluar el nivel de desempeño de las empresas del sector en el camino hacia la excelencia. Se desarrolló una investigación exploratoria y descriptiva para la que se utilizó un procedimiento basado en una metodología cualitativa, que permitió precisar los principales procesos de criterios e indicadores de gestión forestal sostenible que se aplican a nivel nacional e internacional, codificarlos y categorizarlos, además, se logró formular un conjunto de cuatro criterios y veintisiete indicadores de gestión forestal por la excelencia y el mapa de relaciones causa-efecto entre ellos. Los criterios e indicadores propuestos de gestión forestal por la excelencia resumen los elementos que deben abordarse para una gestión forestal sostenible y, en su caso, integran cuestiones inherentes a la actividad empresarial de forma coordinada y equilibrada con sus subsistemas.

Palabras clave: criterios e indicadores; control de gestión; excelencia; sector forestal


ABSTRACT

In Cuban forest sector enterprises, the application of control tools is linked to the process management approach and, in this field, sustainable forest management criteria and indicators are one of the instruments used, although their use is not systemically linked to the strategic management and management control of the sector's enterprises, which reduces the effectiveness of the decision-making process and limits the scope of management. The objective of this contribution focused on proposing a set of criteria and indicators of forest management to evaluate the level of performance of enterprises in the sector on the road to excellence. An exploratory and descriptive research was carried out using a procedure based on a qualitative methodology, which made it possible to identify the main processes of criteria and indicators of sustainable forest management applied at national and international level, codify and categorize them, and formulate a set of four criteria and twenty-seven indicators of forest management for excellence and a map of cause-effect relationships among them. The proposed criteria and indicators of forest management for excellence summarize the elements to be addressed for sustainable forest management and, where appropriate, integrate issues inherent to the enterprise activity in a coordinated and balanced manner with its subsystems.

Keywords: criteria and indicators; management control; excellence; forestry sector


RESUMO

Nas empresas cubanas do sector florestal, a aplicação de instrumentos de controlo está ligada à abordagem de gestão do processo e, neste domínio, os critérios e indicadores de gestão florestal sustentável são um dos instrumentos empregues, embora a sua utilização não esteja sistematicamente ligada à gestão estratégica e ao controlo de gestão das empresas do sector, o que reduz a eficácia do processo de tomada de decisão e limita o âmbito da gestão. O objectivo desta contribuição consistiu em propor um conjunto de critérios e indicadores da gestão florestal para avaliar o nível de desempenho das empresas do sector no caminho para a excelência. Foi desenvolvida uma investigação exploratória e descritiva utilizando um procedimento baseado numa metodologia qualitativa, que permitiu identificar os principais processos de critérios e indicadores de gestão florestal sustentável aplicados a nível nacional e internacional, codificá-los e categorizá-los, e formular um conjunto de quatro critérios e vinte e sete indicadores de gestão florestal de excelência e um mapa de relações causa-efeito entre eles. Os critérios e indicadores propostos de gestão florestal por excelência resumem os elementos a abordar para uma gestão florestal sustentável e, quando apropriado, integram questões inerentes ao negócio de forma coordenada e equilibrada com os seus subsistemas.

Palavras-chave: critérios e indicadores; controlo de gestão; excelência; sector florestal


 

INTRODUCCIÓN

La gestión forestal sostenible ha demostrado ser, en la práctica, una de las actividades que generan mayores beneficios ecológicos, sociales y económicos para las comunidades, dado que comprende las decisiones y actividades encaminadas al aprovechamiento de los recursos forestales de manera ordenada, procurando satisfacer las necesidades de la sociedad actual, sin comprometer la provisión de bienes y servicios para las generaciones futuras. Sin embargo, su operatividad sigue siendo limitada por una serie de barreras técnicas, legales, financieras, logísticas, políticas y de mercado (Abarca Valverde et al., 2020).

En las empresas cubanas del sector forestal, la aplicación de herramientas de control, vinculadas a la sostenibilidad, se asocia al enfoque de gestión por procesos, dado que cada una de las actividades se desarrollan de forma interrelacionada, funcionando como un sistema coherente para la obtención de resultados eficaces y eficientes. En este contexto, es innegable que las políticas empresariales deben caracterizarse por un compromiso hacia una gestión ecológicamente sostenible y, para ello, es necesario conocer los factores que afectan el uso de los bosques (Castillo et al., 2003).

Los criterios e indicadores de gestión forestal sostenible son parte de los elementos de evaluación y control establecidos y asumidos internacionalmente por diferentes países para evaluar su contribución a la sostenibilidad del bosque; entre ellos, se encuentran los procesos de la Organización Internacional de Maderas Tropicales, Proceso de Montreal, Proceso de Tarapoto para la Amazonia, Proceso de la Zona Árida de África, Proceso Paneuropeo o de Helsinki, Proceso del Cercano Oriente, Iniciativa de Bosques Secos de Asia, Organización Africana de la Madera, Proceso de Lepaterique para Centroamérica. Los criterios que se establecen en estos procesos definen los elementos esenciales frente a los que se evalúa la sostenibilidad, con una consideración específica a las funciones productivas y protectoras de los bosques y de los ecosistemas forestales. Los indicadores por su parte, como instrumentos de toma de decisiones, generan información numérica, precisa y contextualizada que puede aplicarse en el ámbito social, económico y natural, según las necesidades y objetivos planteados para su uso (Rueda, De Cáceres, Cuchí & Brau, 2012 citado por Romero Vargas et al., 2020).

La aplicación de los criterios e indicadores por lo general se realiza a nivel regional y nacional y es este enfoque "externo", y no articulado a la gestión empresarial, lo que desde una óptica general limita la observancia de la sostenibilidad en sus tres vertientes: ecológica, económica y social, en ese nivel primario de gestión. Unido a ello y coincidiendo con Sarandón (2002), citado por Valdivia et al. (2020), uno de los problemas recurrentes cuando se intenta evaluar o medir la sustentabilidad, es la confusión respecto a qué es exactamente lo que se quiere evaluar, siendo este uno de los elementos que dificultan su implementación.

Sobre la base de la literatura consultada, se ha verificado que, con respecto a la evaluación de la gestión forestal sostenible, con base a los criterios e indicadores, esta suele ser de naturaleza estática. Es decir, los estudios en cuestión se refieren a la medición de los indicadores, sin tener en cuenta su evolución temporal. Solo en algunos estudios, se ha propuesto medir criterios a lo largo de todo el horizonte de planificación que cubre la ordenación forestal. De ahí la necesidad de integración de los instrumentos de control de la gestión a nivel empresarial en el sector, tomando como fuentes de información primaria la estrategia empresarial y el proyecto de ordenación.

En el camino hacia la excelencia, las empresas del sector forestal deben asumir una filosofía de gestión, en equilibrio con las tres dimensiones de la sostenibilidad, teniendo en cuenta las perturbaciones producidas por elementos de origen natural (tales como el fuego, fenómenos atmosféricos, plagas, entre otros), el uso del bosque por parte del hombre, así como las variables empresariales que influyen en su gestión, tales como los recursos económicos, tecnología, infraestructura y los recursos humanos.

En tal contexto, el objetivo de esta contribución se centró en proponer un conjunto de criterios e indicadores de gestión forestal que permitan evaluar el nivel de desempeño de las empresas del sector en el camino hacia la excelencia.

 

MATERIALES Y MÉTODOS

Esta contribución se basó en una investigación exploratoria y descriptiva para lo que se utilizó una metodología cualitativa. Para ello, se aplica un procedimiento que consta de tres etapas: 1) Definición de los criterios de gestión forestal por la excelencia, 2) Determinación de los indicadores de gestión forestal por la excelencia, 3) Mapa de relaciones causa-efecto.

Se abordan el concepto de gestión forestal sostenible, los procesos de criterios de gestión forestal sostenible a nivel nacional e internacional, control de gestión orientado a la excelencia y su aplicación en empresas del sector forestal.

Se utilizaron métodos teóricos como el histórico-lógico para valorar los antecedentes de la gestión forestal sostenible sobre la base de criterios e indicadores. Su aplicación permitió reconocer prácticas nacionales e internacionales, referidas al tema y al análisis de sus particularidades. El método sistémico permite caracterizar el objeto de la investigación, al precisar la interrelación entre gestión forestal sostenible y la excelencia empresarial.

Dentro de los métodos empíricos, se aplicó la medición para obtener información primaria sobre la aplicación de los criterios e indicadores a nivel nacional e internacional. Se emplearon para ello el análisis documental, cuyos resultados fueron procesados y permitieron arribar a conclusiones.

 

RESULTADOS Y DISCUSIÓN

El procedimiento aplicado para la determinación de los criterios e indicadores de gestión forestal por la excelencia para empresas del sector forestal consta de tres etapas (Fig. 1).

Fig. 1 - Estructura del procedimiento aplicado
Fuente: Elaboración propia

En la primera etapa, se aplicó la metodología cualitativa de Bardin (2011), citado por do Nascimento & Tomazzoni (2017), sobre la base del análisis de materiales e información relevante en tres fases fundamentales y consecutivas. En la primera, llamada preanálisis, se cumplieron tareas relacionadas con la organización del trabajo, la definición de los procedimientos y una revisión inicial de los documentos, a fin de seleccionar los relevantes y pertinentes, según reglas de: exhaustividad (nada fue omitido); representatividad (la muestra seleccionada representó el universo de los criterios e indicadores seleccionados); homogeneidad (los datos se referían a los criterios e indicadores de gestión forestal sostenible y fueron seleccionados, con la aplicación de las mismas técnicas); pertinencia (los documentos seleccionados tratan el tema objeto de investigación). Esto permitió examinar de forma analítica los criterios e indicadores de gestión forestal sostenible, al tener como base la literatura seleccionada sobre el tema. Según Godoy (1995), citado por da Silva et al. (2014), la investigación cualitativa incluye datos descriptivos e interactivos, a fin de comprender los fenómenos a partir de las perspectivas de autores seleccionados en cada situación estudiada.

Para la exploración del material como segunda fase, se procedió a la definición de las categorías de análisis. Se estableció, entonces, que los criterios seleccionados serían utilizados como categorías, lo que permitió la comparación entre las distintas propuestas y clasificaciones de criterios para la gestión forestal sostenible de diferentes autores a nivel internacional. Esta opción permitió aplicar los procedimientos de codificación (selección de la unidad de medida), clasificación (agrupar por el contenido de las categorías) y categorización (organizar la información de cada categoría y estudiar las posibles correlaciones entre ellas). En esta fase, fueron identificadas las características y coincidencias entre los criterios evaluados, lo que logró transformar los datos en conocimiento. La tercera y última fase de la primera etapa consistió en el procesamiento de los resultados, inferencias e interpretaciones, donde se logró arribar a conclusiones mediante el análisis reflexivo y crítico, que permitió conformar un sistema compuesto por cuatro criterios sintéticos de gestión forestal sostenible, resultado de la agrupación de información contenida en los criterios de gestión forestal sostenible estudiados.

La segunda etapa del procedimiento aplicado se centró en la determinación de los indicadores correspondientes a cada uno de los cuatro criterios seleccionados. Para ello, se realizó una consulta a especialistas del sector, a través de los siguientes juicios de selección: 1) Pertinencia, 2) Funcionalidad, 3) Disponibilidad de la información, 4) Confiabilidad de los datos y 5) Utilidad.

El análisis y evaluación de los instrumentos de control utilizados en las empresas del sector forestal en Cuba y las reflexiones y conclusiones previas enfocadas a la necesidad y posibilidad de perfeccionar el sistema de control de gestión, con enfoque hacia la excelencia, permitieron su conceptualización, así como corroborar la pertinencia de la evaluación de los criterios e indicadores y el cálculo del indicador: Nivel alcanzado en el desempeño hacia la excelencia como parte del sistema de control de gestión, lo que permite valorar la contribución de la empresa al desarrollo sostenible y a la satisfacción de intereses locales, nacionales, internacionales e interinstitucionales.

Se determinó el mapa de relaciones causa-efecto de los indicadores seleccionados por criterios como herramienta complementaria del control de gestión por la excelencia. Para ello, se aplicó la lógica de la metodología de Kaplan y Norton (2004), mediante la cual es posible articular a través del establecimiento de relaciones causa-efecto, los criterios y sus objetivos, los indicadores asociados a cada uno, así como los riesgos de los procesos que intervienen en el cumplimiento de estos.

Los resultados de la aplicación del procedimiento se centran en:

Etapa 1. Resultado - Criterios e indicadores de gestión forestal por la excelencia

El proceso de control de gestión orientado a la excelencia para empresas del sector forestal, según Pérez et al. (2020), es el proceso sistémico y estratégico, orientado a monitorear y medir los resultados sobre la base de estándares de desempeño, la evaluación de riesgos asociados e información relevante y oportuna, que permitan a la alta dirección ajustar las acciones para alcanzar gradualmente un estado de éxito sostenido, que contribuya a la satisfacción de las necesidades y expectativas de la partes interesadas. Todo ello a partir del proyecto de ordenación forestal y los criterios de gestión forestal sostenible.

Dado que gestión forestal es esencialmente un proceso administrativo (Aguirre Calderón, 2015), se considera que los "criterios e indicadores para la gestión forestal sostenible" constituyen una herramienta de control de gestión en empresas del sector forestal, ya que poseen la capacidad de ser empleados para la conceptualización, instrumentación práctica y alcance de los progresos realizados en materia de ordenación y gestión forestal sostenible a nivel de región, país, incluidas las unidades de gestión forestal (unidades silvícolas).

Estos criterios tienen como antecedentes los debates sobre "sostenibilidad" que datan desde 1713. En la publicación de Hans Carl von Carlowitz "Silvicultura Económica", se estableció el principio de "producción continua de madera" en las ciencias forestales y se consideró esta fecha como el nacimiento del término "sostenibilidad" en esta área. Siglos después, en 1987, el término fue ampliado en el informe Brundtland de la Comisión Mundial sobre Medioambiente y Desarrollo, se consideraron las dimensiones: ambiental, social, económica y político-institucional. Este principio ha sido un pilar importante para la Conferencia de las Naciones Unidas sobre Medioambiente y Desarrollo en "Río 1992", puesto que fue el primer intento político internacional por combinar el desarrollo económico con objetivos de conservación bajo el principio de "sustentabilidad". Como resultado de esta conferencia en el Panel Intergubernamental sobre Bosques (1995-1997), fue reconocida la importancia de monitorear las tendencias y los avances de la gestión forestal sostenible, así mismo el Foro de las Naciones Unidas sobre los Bosques (UNFF) y la Organización de las Naciones Unidas para la Alimentación y la Agricultura (FAO) lo han reafirmado. La base de los principios generales para establecer los diferentes criterios e indicadores de gestión forestal sostenible fue identificada por el UNFF y la FAO en 2003 e hizo referencia a siete aspectos: 1) superficie de recursos forestales, 2) diversidad biológica, 3) sanidad y vitalidad de los bosques, 4) funciones productivas, 5) funciones protectoras, 6) funciones socioeconómicas y 7) marco político, legal e institucional.

A partir de entonces, ha surgido una amplia variedad de criterios de carácter regional para la gestión forestal sostenible, reconocidos como "procesos". En América, se destacan el Proceso de Montreal para los bosques boreales y templados, el de Lepaterique para Centroamérica y el Proceso de Tarapoto para la Amazonía; se reconocen, igualmente, los procesos de la Organización Internacional de Maderas, Proceso Paneuropeo, Proceso de la Zona Árida de África, Proceso del Cercano Oriente, Iniciativa de Bosques Secos de Asia y la Organización Africana de la Madera, para un total de nueve, a los que se suman las proposiciones de Herrero (2004) y Cué (2015) en el contexto cubano. Todas estas propuestas asumen "criterios", de ahí que resulta importante enfatizar que, en esta investigación, se asume que "criterio" es una condición que debe cumplir una determinada actividad, actuación o proceso para ser considerada según el patrón con que se compare.

El estudio sobre los criterios de gestión forestal sostenible, a partir de los materiales y autores seleccionados, permitió constatar que los mismos se asumen para contextos donde las unidades de manejo forestal responden a diferentes formas de propiedad y por ello, generalmente, se establece un criterio relacionado con la "existencia de un marco jurídico e institucional adecuado para una gestión forestal sostenible". En dependencia del contexto donde se adopte este criterio y de quien administre el patrimonio forestal, resulta importante establecer, qué se supone como "marco adecuado" y para quién se considera adecuado, puesto que los impactos sociales asociados a los ecosistemas forestales, en ocasiones, trascienden lo permisible y previsto para dichos ecosistemas. La valoración de un impacto ambiental y la consiguiente aceptación o rechazo de la acción que lo produce exigen un conocimiento profundo de las relaciones actividad-entorno, una preparación multifacética, una habilidad especial para encontrar la forma de medirla y un criterio para valorarla (Espinoza Nájera et al., 2012). De ahí que se considere que la necesidad de verificar, si existen o no instrumentos jurídicos para ese fin en un país, no representa que se garantice la gestión forestal sostenible, puesto que pueden no aplicarse aun cuando existan y, por tanto, no se cumple la condición que establece el criterio. El análisis permitió corroborar la pertinencia de integrar el marco regulatorio vigente en el país a la gestión estratégica empresarial, con miras a mejorar el desempeño de la gestión forestal sostenible.

Por lo anterior, esta investigación asume de vital importancia para elevar los resultados de la gestión forestal sostenible lograr la integración del marco regulatorio vigente a la gestión estratégica de la empresa.

Otro de los criterios de gestión forestal sostenible analizados se enfoca hacia el mantenimiento y conservación de la diversidad biológica y de los recursos del bosque, tales como el suelo y el agua. Estos se encuentran entre los más estudiados a nivel internacional, dado que en la gestión sustentable de masas forestales es fundamental conservar la biodiversidad, conservar la composición forestal, sus valores asociados y el paisaje del ecosistema (López Hernández et al., 2017).

En este criterio, no se hacen recomendaciones a nivel de indicadores, excepto en el Proceso de Lepaterique, donde se propone a una metodología enfocada a lograr la sustentabilidad en el ámbito de la biodiversidad, a nivel de unidad de manejo. El análisis para la operacionalización de este criterio a nivel empresarial permitió establecer la integración de los aspectos que se relacionan con los elementos que interactúan en el bosque, tanto bióticos como abióticos, en un criterio, pues se consideró que ello facilitaría su inserción más coherente al sistema de gestión empresarial, lo que contribuye a que la empresa incorpore su evaluación de forma significativa al proceso de control de gestión y toma de decisiones.

Producción sostenible fue otro de los criterios analizados; el mismo es evaluado en todas las propuestas descritas en la bibliografía sobre el tema, dada la relevancia y necesidad de incentivar la producción forestal sobre bases sostenibles, el fomento de plantaciones en cantidad y diversidad, así como la producción de bienes de segunda transformación para el consumo de la población. Este es uno de los criterios que incluye actividades cuya ejecución se orienta en el largo plazo, hacia la elevación de la satisfacción de los clientes pues refleja la efectividad de las actividades de toda la cadena productiva forestal.

Por otra parte, se analizó el enfoque espacial de las propuestas de criterios de gestión forestal sostenible, tanto nacionales como internacionales. Como resultado, se distingue un diseño de arriba hacia abajo, lo cual resulta una limitante para el desarrollo del proceso de monitoreo de las funciones económicas y sociales del bosque en función de las necesidades locales. La clave para cualquier sistema de control participativo, según Martínez et al. (2019), es que los indicadores sean orientados hacia medidas y acciones que permitan influir en el ambiente del usuario y que estos últimos estén involucrados en la colecta de los datos. Es por ello que los indicadores deben estar en plena correspondencia con las características de las empresas del sector forestal, del patrimonio que administran y del territorio al que pertenecen.

El análisis de los criterios, así como de la factibilidad de su inserción en el sistema de gestión empresarial y de su monitoreo y evaluación, con el propósito de eliminar su tratamiento de manera aislada, asistémica y para satisfacer requerimientos de información de entes externos, posibilitó la propuesta de criterios de gestión forestal sostenible, integrados al sistema de control de gestión para estas empresas, para evaluar el desempeño de manera integral y en función de resultados más efectivos en los tres ámbitos de la sostenibilidad: en lo económico, en lo social y en lo ecológico. Este enfoque garantizaría orientar la gestión hacia el cumplimiento de los criterios, incorporando una filosofía que debe caracterizar a las entidades del sector forestal, pues la visión enfocada a la sostenibilidad debe transversalizar el desempeño cotidiano y su evaluación.

Los criterios que se definen en esta investigación no desestiman las propuestas anteriores; los criterios de gestión forestal por la excelencia se conciben desde una óptica integradora en función de su inserción y evaluación a través del control de gestión.

Se obtienen cuatro criterios, número inferior a los propuestos por Herrero (2004) y Cué (2015) para el contexto cubano, sin embargo, en función del objetivo trazado en la investigación, se logró la integración de los aspectos que permitan evaluar la gestión forestal sostenible vinculada al desempeño de los subsistemas y procesos de la empresa, al del talento humano, a la innovación y la contribución al desarrollo local. Se inserta y privilegia la gestión de riesgos, todo lo cual contribuye a lograr una evaluación más objetiva del tránsito hacia la excelencia.

La determinación de los criterios se realizó sobre la base de:

A partir de la identificación de las características y coincidencias entre los criterios nacionales e internacionales evaluados, se conformó un sistema compuesto por cuatro criterios de gestión forestal y se consideraron elementos del contexto empresarial cubano (el marco regulatorio, el nivel de subordinación empresarial y el principal recurso que administra, entre otros) que influyen en la elevación de la efectividad del desempeño enfocado hacia la excelencia empresarial.

Lo anterior permite asumir la denominación de "criterios de gestión forestal por la excelencia" en lugar de "criterios de gestión forestal sostenible", dado que considerarlos de excelencia implica la sostenibilidad. Los criterios propuestos son los siguientes:

1) Existencia de condiciones para la gestión forestal orientada a la excelencia

Mediante este criterio se reconocen y evalúan las condiciones materiales, económicas, tecnológicas, humanas, entre otras, de las empresas del sector forestal. Se incluye el análisis del ámbito económico e institucional de las empresas, lo que constituye el marco contextual para la evaluación del resto de los criterios de gestión forestal por la excelencia. Se refiere a la capacidad financiera, tecnológica, de los recursos humanos y las características del patrimonio forestal que, unido a lo previsto en el proyecto de ordenación forestal, son considerados en la planeación estratégica en correspondencia con el marco regulatorio cubano, así como las regulaciones específicas para las empresas del sector.

2) Establecimiento, mantenimiento y conservación de la integridad del ecosistema forestal

En este criterio, se considera el establecimiento, mantenimiento y conservación de la salud y vitalidad del ecosistema forestal; se evalúa a partir de la información captada sobre los impactos, tanto de los agentes bióticos (enfermedades, insectos, especies invasoras) como de los abióticos, (incendios, tormentas, desmonte) en el ecosistema, así como de las condiciones materiales, económicas, tecnológicas, humanas, entre otras, según el criterio 1), debiendo formularse estrategias de gestión para minimizar y mitigar riesgos que podrían generar impactos tales como, la pérdida de los beneficios forestales y la degradación de la calidad ambiental.

3) Producción forestal sostenible

Mediante este criterio se evalúan resultados vinculados a la productividad y diversificación de productos y servicios del bosque, la efectividad en el uso de los recursos, así como otros resultados que caracterizan el desempeño productivo. La gestión forestal orientada a la diversificación de la producción de bienes y servicios, bajo principios de sostenibilidad económica, ecológica y social, resulta una de las opciones más viables y atractivas para la conservación de estos ecosistemas.

4) Fortalecimiento y contribución a la economía local

A través de este criterio, se evalúa cómo las empresas del sector forestal se vinculan y aportan al desarrollo del territorio y de la localidad donde desarrollan su actividad como entes generadores de empleos para los habitantes, que aportan una parte de las utilidades para su reinversión en el territorio. Desarrollan proyectos que generan productos y servicios que beneficien a las comunidades y a los trabajadores de la empresa, producen bienes que sustituyen importaciones y otros destinados a la exportación, lo que contribuye a minimizar la dependencia de un limitado surtido de productos forestales, incentivar la conservación de los bosques y promover el desarrollo territorial.

La formulación de los criterios de gestión forestal por la excelencia adopta la filosofía de apertura al cambio, privilegiando la definición de resultados y metas en función de su observancia, así como de la mejor combinación de insumos, actividades y productos para alcanzarlos.

Etapa 2. Resultado - Indicadores asociados a los criterios de gestión forestal por la excelencia

Las empresas del sector forestal deben ser capaces de medir su comportamiento con respecto al logro de una gestión forestal sostenible y los instrumentos para ello deben responder a este objetivo en sus tres vertientes: económico, ecológico y social. En este sentido, se han localizado críticas con respecto a algunos indicadores, al considerarse generales e imprecisos.

Sobre este aspecto, se considera que algunos indicadores asociados a los criterios de gestión forestal sostenible, a nivel internacional, se enfocan a variables que no dependen de la dinámica del nivel empresarial, por ejemplo, la "existencia de leyes que favorezcan la gestión forestal sostenible", que emanan de un nivel nacional o regional. La formulación de los indicadores, en correspondencia con todos los procesos de las empresas del sector forestal, resulta más efectiva para la toma de decisiones.

El proyecto de ordenación forestal y la estrategia empresarial constituyen elementos sustantivos del proceso de planificación de las empresas del sector forestal. El primero, según la Ley No. 85, Ley Forestal "comprende operaciones de carácter administrativo, económico, jurídico, social, técnico y científico que se realizan para el adecuado establecimiento, gestión, conservación y la utilización sostenible de los bosques" para un período de diez años y la segunda ejerce como el documento rector de la actividad empresarial, mediante el establecimiento de objetivos en correspondencia con el objeto social de la empresa.

Para ejercer el control de gestión, estas empresas captan datos y elaboran información en función de cumplimentar las exigencias de la Oficina Nacional de Estadísticas e Información, así como para la evaluación y toma de decisiones. Esencialmente, este constituye un sistema de indicadores para el control de la eficiencia económico-financiera de las empresas, que limita el análisis solo a ese ámbito de la gestión; por tanto, los directivos enfocan la actuación hacia su cumplimiento y, en menor medida, al análisis de otras cuestiones estratégicas relacionadas con los clientes, el impacto en el medio natural, la tecnología, el entorno, entre otras.

La evaluación del desempeño de las empresas del sector forestal, con respecto a las cuestiones específicas del bosque, se efectúa a partir de los "criterios e indicadores de gestión forestal sostenible" adaptados al contexto nacional por Herrero (2004) y Cué (2015), de manera aislada y asistemática. Es así que en esta investigación, dado que el desempeño de estas empresas está vinculado directamente a los recursos naturales, se define al control de gestión orientado a la excelencia para empresas del sector forestal como: el proceso sistémico y estratégico, orientado a monitorear y medir los resultados de la actividad sobre la base de estándares de desempeño, a la evaluación de los riesgos asociados e información relevante y oportuna, que permita adoptar decisiones para alcanzar gradualmente un estado de éxito sostenido que contribuya a la satisfacción de las necesidades y expectativas de la partes interesadas; todo ello a partir del proyecto de ordenación forestal y de los criterios de gestión forestal por la excelencia.

A partir de esta definición y de la adopción de los criterios de gestión forestal por la excelencia, se estructuran los indicadores que se muestran en la tabla 1.

Tabla 1 - Indicadores para el control de gestión orientado a la excelencia en empresas del sector forestal

Criterio I: Existencia de condiciones para una gestión forestal orientada a la excelencia

1

Ingresos Totales Anuales

2

Rentabilidad

3

Margen de Utilidad

4

% del presupuesto destinado a investigación

5

Índice de ejecución del presupuesto de inversiones

6

Índice de satisfacción de los trabajadores

7

Evaluación del desempeño

8

Estado técnico del transporte

9

Índice de cobertura forestal relativo IBR

10

Índice de parcelas permanentes establecidas Ppe

Criterio II: Establecimiento, mantenimiento y conservación de la integridad del ecosistema forestal

11

Índice de tratamientos Silvícolas ITS

12

Índice de reconstrucción de bosques IRB

13

Índice de superficie forestal afectada por especies exóticas y plagas (Ise)

14

Índice de superficie afectada por incendios (Isi)

15

Capacidad de carbono acumulado por unidad de superficie CCS

Criterio III: Producción forestal sostenible

16

Efectividad de las plantaciones (Ep)

17

Cumplimiento del volumen de producción planificado

18

Diversificación de la producción

19

Coeficiente de eficiencia energética

20

Rentabilidad ambiental

21

Coeficiente de contingencia

22

Nivel de satisfacción de clientes

Criterio IV: Fortalecimiento y contribución a la economía local

23

% de productos destinados a la exportación

24

% de productos que sustituyen importaciones

25

Coeficiente de innovación

26

Número de proyectos impulsados

27

Cantidad de Trabajadores directos e indirectos

Fuente: Elaboración propia a partir de las propuestas de Herrero (2004) y Cué (2015)

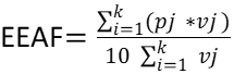
Los indicadores de cada criterio permiten, a través de la expresión (1), determinar el Nivel de excelencia de las empresas del sector forestal basado en los rangos de la tabla 2.

El nivel de excelencia de empresas del sector forestal se calcula como:

        (1)

Donde:

EEAF: Nivel de Excelencia en Empresas del sector forestal

Pj: puntuación otorgada al indicador

Vj: peso relativo o ponderación de los indicadores

K: cantidad de indicadores

El número 10 representa el rango de evaluación del resultado de los estándares de desempeño de los indicadores, del 1 al 10 donde 1 (muy mal) y 10 (muy bien).

Es posible, a partir del nivel de excelencia calculado mediante la expresión matemática y de la ubicación del resultado en la escala, según la tabla 2, determinar el nivel de desempeño de las empresas del sector forestal, a partir de los criterios de gestión forestal por la excelencia, lo que permite orientar las acciones para la mejora.

La escala de valoración fue adaptada a partir de los niveles de desempeño de la norma ISO 9004: 2009, como se muestra en la tabla 2.

Tabla 2 - Escala de valoración del nivel de desempeño empresarial

Nivel

Intervalos

Desempeño

Orientación

I

0.80

1. 00

Empresa Excelente

Orientación hacia la excelencia (calidad total)

II

0.60

0.80

Empresa con énfasis en la mejora continua

Orientación hacia la gestión de la calidad (eficacia)

III

0.40

0.60

Empresa con aproximación proactiva a la mejora

Orientación hacia la efectividad (resultados)

IV

0.2

0.40

Empresa con aproximación reactiva a la mejora

Orientación hacia la eficiencia (uso de recursos)

V

0

0.20

Empresa sin aproximación formal a la mejora

Sin resultados o resultados pobres e imperceptibles

Fuente: Elaboración propia

Etapa 3. Resultado - Mapa de relaciones causa-efecto entre los criterios e indicadores de gestión forestal por la excelencia

Se conformó el mapa de relaciones causa-efecto teórico (Fig. 2), se tomaron como base los criterios e indicadores de gestión forestal por la excelencia, que en este caso son los que describen el proceso de formación de valor, mediante una serie de relaciones entre los objetivos e indicadores de cada criterio, lo cual contribuye, desde esta perspectiva, a perfeccionar el proceso de gestión, su conducción y toma de decisiones oportunas.

Fig. 2 - Mapa de relaciones causa-efecto entre criterios e indicadores de gestión forestal por la excelencia
Fuente: Elaboración propia

Esta herramienta de planificación y control puede contribuir al monitoreo de la evolución de los indicadores por área de responsabilidad, así como comprobar las hipótesis establecidas para cada uno de los criterios de gestión forestal por la excelencia.

Para el caso de las empresas del sector forestal, el mapa de relaciones causa-efecto considera el equilibrio de fuerzas contradictorias, tales como el crecimiento, la satisfacción del cliente y la sostenibilidad ambiental, lo cual implica un compromiso con el largo plazo y la creación de una fuente sustentable de valor.

Los criterios e indicadores de gestión forestal por la excelencia propuestos, resumen los elementos que deben abordarse para una gestión forestal sostenible y, en su caso, integran cuestiones inherentes a la actividad empresarial de forma coordinada y equilibrada con sus subsistemas.

Los indicadores diseñados permiten la visualización del estado de cada criterio en términos de excelencia, a la vez que facilitan el proceso de planificación estratégica. La evaluación del nivel de desempeño, con respecto a la excelencia, según los rangos establecidos, posibilita el proceso de mejora continua y la retroalimentación con respecto a las brechas.

El entorno dinámico en la gestión de empresas del sector forestal demandará nuevos retos en la investigación, que permitan el perfeccionamiento e integración de las variables de planificación, organización, ejecución y control para generar mejores esquemas de toma de decisiones con vistas a la excelencia, teniendo en cuenta los riesgos para el cumplimiento de las metas establecidas a nivel nacional e internacional, nuevas alternativas en la gestión de los bosques y el aprovechamiento eficaz de los mismos.

 

REFERENCIAS BIBLIOGRÁFICAS

Abarca Valverde, P., Meza Picado, V., & Méndez Gamboa, J. (2020). Evaluación de tratamientos silviculturales en la sostenibilidad de bosques tropicales en la Región Huetar Norte, Costa Rica. Revista de Ciencias Ambientales, 54(1), 140-166. https://doi.org/10.15359/rca.54-1.8

Aguirre Calderón, O. A. (2015). Manejo Forestal en el Siglo XXI. Madera y Bosques, 21(spe). https://doi.org/10.21829/myb.2015.210423

Castillo, F. J., Bosco Imbert, J., Blanco, J. A., Traver, C., & Puertas, F. (2003). Gestión forestal sostenible de masas de pino silvestre en el Pirineo Navarro. Ecosistemas, 12(3). https://doi.org/10.7818/ECOS.228

Cué García, J. L. (2015). Criterios e indicadores del manejo forestal sostenible: Una alternativa para su monitoreo. Revista Cubana de Ciencias Forestales, 3(2), 183-193. http://cfores.upr.edu.cu/index.php/cfores/article/view/128

da Silva, J. A., Pastor Tejedor, A. C., & Pastor Tejedor, J. (2014). El uso del cuadro de mando integral como instrumento de medición para comparar los modelos de excelencia en gestión. Revista Ibero Americana de Estratégia, 13(4), 18-32. https://doi.org/10.5585/ijsm.v13i4.2013

do Nascimento Sousa, E., & Tomazzoni, E. L. (2017). El análisis de contenido en las investigaciones turísticas en Brasil: ¿qué muestran las revistas brasileñas de turismo? Estudios y perspectivas en turismo, 26(1), 42-61. https://dialnet.unirioja.es/servlet/articulo?codigo=6324196

Espinoza Nájera, C., González Alafita, O., & Vargas Carballo, R. (2012). La evaluación del impacto ambiental y el desarrollo sustentable. Estudio de caso San Pedro Mixtepec, Juquila, Oaxaca. Revista Chapingo Serie Ciencias Forestales y Del Ambiente, 18(1), 87-99. https://doi.org/10.5154/r.rchscfa.2010.11.130

Herrero Echevarría, J. A. (2004). Criterios e indicadores de manejo forestal sostenible. Una visión de futuro. Agencia de Información y Comunicación para la Agricultura (Agrinfor). https://isbn.cloud/9789592461437/criterios-e-indicadores-de-manejo-forestal-sostenible-una-vision-de-futuro/

Kaplan, R. S., & Norton, D. P. (2004). Mapas Estratégicos. Gestión 2000.

López Hernández, J. A., Aguirre Calderón, Ó. A., Alanís Rodríguez, E., Monarrez González, J. C., González Tagle, M. A., & Jiménez Pérez, J. (2017). Composición y diversidad de especies forestales en bosques templados de Puebla, México. Madera y Bosques, 23(1), 39-51. https://doi.org/10.21829/myb.2017.2311518

Martínez Salvador, M., Sosa Pérez, G., Chacón Sotelo, J. M., Pinedo Álvarez, A., Villarreal Guerrero, F., & Prieto Amparan, J. A. (2019). El monitoreo forestal por medio de Sitios Permanentes de Investigación Silvícola en Chihuahua, México. Revista mexicana de ciencias forestales, 10(55), 56-78. https://doi.org/10.29298/rmcf.v10i55.511

Pérez Martínez, J., Fernández Hernández, M. E., & de la Nuez Hernández, D. (2020). Indicadores para el control de gestión orientado a la excelencia, por un desarrollo integral forestal. Cooperativismo y Desarrollo, 8(1), 57-67. http://coodes.upr.edu.cu/index.php/coodes/article/view/254

Romero Vargas, M., Bermúdez Roja, T., & Duque Gutiérrez, M. (2020). Evaluación cualitativa de indicadores de sostenibilidad socioambiental para su selección y aplicación en ciudades costarricenses. Revista Geográfica de América Central, 1(64), 17-41. https://doi.org/10.15359/rgac.64-1.1

Valdivia Espinoza, L. A., González Manrique de Lara, T. F., & Julca Otiniano, A. M. (2020). Sustentabilidad ambiental de las concesiones forestales en el departamento Huánuco, Perú. Madera y Bosques, 26(3). https://doi.org/10.21829/myb.2020.2632062

 

Conflicto de intereses:

Los autores declaran no tener conflictos de intereses.

 

Contribución de los autores:

Jineht Pérez Martínez: contribución en la concepción de la idea, diseño del estudio, búsqueda y revisión de la literatura, recopilación de información, análisis de los datos, elaboración del borrador, traducción de términos, corrección del artículo, revisión de la aplicación de la norma bibliográfica.

María Elena Fernández Hernández: contribución en la búsqueda y revisión de la literatura, recopilación de información, análisis de los datos, corrección del artículo.

Diana de la Nuez Hernández: contribución en la búsqueda y revisión de la literatura, recopilación de información, traducción de términos, corrección del artículo.

Todos los autores revisaron la redacción del manuscrito y aprueban la versión finalmente remitida.

 


Esta obra está bajo una licencia Creative Commons Reconocimiento-NoComercial 4.0 Internacional
Copyright (c) Jineht Pérez Martínez; María Elena Fernández Hernández; Diana de la Nuez Hernández