Cooperativismo y Desarrollo, mayo-agosto 2025; 13(2), e878

 

Artículo original

La agricultura urbana, suburbana y familiar. Su contribución a la alimentación de la población cubana

 

Urban, suburban and family agriculture. Its contribution to the feeding of the Cuban population

 

Agricultura urbana, suburbana e familiar. Sua contribuição para a alimentação da população cubana

 

Gustavo Rodríguez Rollero1 0009-0006-4252-3020 gustavo.rodriguez@inica.azcuba.cu
Yanet Vallejo Zamora2 0000-0003-3359-6675 yanetvallejo76@gmail.com
Elizabeth Peña Turruellas3 0009-0009-1681-4045 diraurbana@oc.minag.gob.cu
José Roberto Capó Pérez2 0009-0003-2368-0766 capo@unah.edu.cu
Elio M. Del Pozo Núñez2 0000-0002-4373-0973 epozo@unah.edu.cu

1 Instituto de Investigaciones de la Caña de Azúcar. La Habana, Cuba.
2 Universidad Agraria de La Habana "Fructuoso Rodríguez Pérez". Mayabeque, Cuba.
3 Ministerio de la Agricultura. La Habana, Cuba.

 

Recibido: 11/03/2025
Aceptado: 9/06/2025


RESUMEN

La agricultura urbana, suburbana y familiar se ha convertido en una importante alternativa para la seguridad alimentaria en un planeta urbanizado. En Cuba se consolida a partir de 1994 como un sistema intensivo de producción, cuya misión es contribuir al autoabastecimiento local de productos agropecuarios. El presente artículo tiene como objetivo analizar los resultados de indicadores claves del sistema de La Agricultura Urbana, Suburbana y Familiar de Cuba y el papel que desempeña este sistema en la satisfacción de las necesidades de alimentos de la población cubana. Para ello se hizo una revisión de documentos, se elaboraron series históricas, de seis indicadores de dicho sistema y se realizaron análisis de tendencias. Para conocer la percepción de los consumidores sobre el sistema y su papel en la satisfacción de las necesidades de alimentos, se diseñó una encuesta de 10 preguntas directas, cerradas, de respuesta múltiple y unipolar, que se aplicó sobre una muestra de 207 consumidores de tres provincias del país. Como principales resultados se obtuvo que, excepto un indicador con una tendencia descendente, los demás expresaron una tendencia ascendente a través de los años analizados, logrando mantener los niveles de producción de hortalizas y condimentos frescos. De igual manera, se confirmó por la percepción de los consumidores que la agricultura urbana, suburbana y familiar constituye, actualmente, uno de los principales sustentos de alimentos frescos e inocuos para la población cubana.

Palabras clave: agricultura urbana; agricultura suburbana; organopónicos; vegetales; patios; parcelas.


ABSTRACT

Urban, suburban and family agriculture has become an important alternative for food security in an urbanized planet. In Cuba, it has been consolidated since 1994 as an intensive production system, whose mission is to contribute to local self-sufficiency in agricultural products. The purpose of this article is to analyze the results of key indicators of the system of Urban, Suburban and Family Agriculture in Cuba and the role played by this system in meeting the food needs of the Cuban population. To this end, a review of documents was made, historical series of six indicators of this system were elaborated and trend analyses were carried out. In order to know the consumers' perception of the system and its role in the satisfaction of food needs, a survey of 10 direct, closed, multiple-choice and unipolar questions was designed and applied to a sample of 207 consumers in three provinces of the country. The main results were that, except for one indicator with a downward trend, the others showed an upward trend over the years analyzed, maintaining the production levels of fresh vegetables and condiments. Similarly, it was confirmed by the perception of consumers that urban, suburban and family agriculture is currently one of the main sources of fresh and safe food for the Cuban population.

Keywords: urban agriculture; suburban agriculture; organoponics; vegetables; backyards; plots.


RESUMO

A agricultura urbana, suburbana e familiar tornou-se uma alternativa importante para a segurança alimentar em um planeta urbanizado. Em Cuba, ela se consolidou a partir de 1994 como um sistema intensivo de produção, cuja missão é contribuir para a autossuficiência local de produtos agrícolas. O presente artigo tem como objetivo analisar os resultados dos indicadores-chave do sistema de Agricultura Urbana, Suburbana e Familiar de Cuba e o papel que esse sistema desempenha na satisfação das necessidades alimentares da população cubana. Para isso, foi feita uma revisão de documentos, elaboradas séries históricas de seis indicadores desse sistema e realizadas análises de tendências. Para conhecer a percepção dos consumidores sobre o sistema e seu papel na satisfação das necessidades alimentares, foi elaborada uma pesquisa com 10 perguntas diretas, fechadas, de resposta múltipla e unipolar, que foi aplicada a uma amostra de 207 consumidores de três províncias do país. Como principais resultados, obteve-se que, exceto um indicador com tendência descendente, os demais expressaram uma tendência ascendente ao longo dos anos analisados, conseguindo manter os níveis de produção de hortaliças e condimentos frescos. Da mesma forma, foi confirmado pela percepção dos consumidores que a agricultura urbana, suburbana e familiar constitui, atualmente, um dos principais sustentáculos de alimentos frescos e seguros para a população cubana.

Palavras-chave: agricultura urbana; agricultura suburbana; organopônicos; vegetais; pátios; parcelas.


 

INTRODUCCIÓN

La producción de más alimentos para la creciente población mundial, sin incrementar la huella ecológica de la humanidad, constituye un gran desafío para el siglo XXI y se considera que la producción urbana de dichos alimentos puede ayudar a resolver el mismo (De Simone et al., 2023; Drottberger et al., 2023; Jansma & Wertheim Heck, 2022; Opoku et al., 2024).

La Agricultura Urbana (AU) ha surgido como una importante alternativa sostenible para mejorar la seguridad alimentaria en un planeta urbanizado, estimándose que puede proporcionar entre el 15 y el 20 % de los alimentos necesarios a nivel mundial y parece alinearse bien con los valores de los consumidores relativos a la naturaleza y la sostenibilidad (Califano et al., 2024).

La producción agropecuaria en el entorno de las ciudades, en esencia, es multifuncional, y las funciones que puede proporcionar están relacionadas con la producción de alimentos, el bienestar, los ciclos del agua y del aire, entre otras. Hospedar biodiversidad es también considerado como un servicio ecosistémico brindado y favorecido por la AU (Royer et al., 2023).

La AU puede ser sostenible si tiene integridad ambiental, si es económicamente resiliente, si promueve el bienestar social y es respaldada por políticas gubernamentales de apoyo. Es necesario un enfoque equilibrado que integre la innovación tecnológica, la viabilidad económica, la accesibilidad y los impactos sociales para dar forma a un paisaje agrícola urbano sostenible y resiliente (Nesheli & Salaj, 2024).

Como en muchos otros países, esta modalidad de agricultura se ha practicado en Cuba desde hace mucho tiempo, aunque su desarrollo como un programa organizado comienza a partir de 1987 con el establecimiento de los "organopónicos" y se consolida a partir de 1994 como un sistema intensivo de producción en todo el país, el Sistema de Agricultura Urbana, Suburbana y Familiar (AUSUF), cuya misión principal es contribuir al autoabastecimiento local de hortalizas, viandas, frutas y proteína animal (Górna & Górny, 2020).

Sus resultados productivos a través de los años han variado en dependencia de muchos factores, entre ellos: la disponibilidad de espacios para la producción, la disponibilidad de abonos orgánicos, la disponibilidad de semillas, entre otros. Es por ello que el presente artículo tiene como objetivo analizar los resultados de indicadores claves del sistema de la Agricultura Urbana, Suburbana y Familiar de Cuba y el papel que desempeña este sistema en la satisfacción de las necesidades de alimentos de la población cubana.

 

MATERIALES Y MÉTODOS

Para el desarrollo de este trabajo, se utilizó un enfoque mixto de la investigación, con el uso de herramientas cualitativas y cuantitativas. Se emplearon métodos de investigación del nivel teórico, del nivel empírico (experiencias acumuladas de los actores sociales y análisis documental) y métodos matemático-estadísticos (estadística descriptiva, análisis de tendencias y análisis no paramétricos de las variables en estudio).

Para el análisis de los resultados de indicadores del sistema de la AUSUF, se seleccionó el período 2019-2023, en el cual el país estuvo afectado por la crisis económica mundial y la pandemia de COVID-19 y surge la necesidad de la búsqueda y perfeccionamiento de alternativas para la producción de alimentos. Se consultaron los siguientes documentos:

De estos documentos se obtuvo información relativa a los siguientes seis indicadores considerados como claves para la caracterización de esta modalidad de sistema agrícola, a partir de lo establecido en los lineamientos de la AUSUF para el año 2020:

  1. Superficie de hortalizas y condimentos frescos (ha)
  2. Producción de hortalizas y condimentos frescos (t)
  3. Producción percápita de hortalizas (g.día-1)
  4. Rendimiento de los organopónicos (kg.m-2.año-1)
  5. Producción de abonos orgánicos (t)
  6. Cantidad de patios y parcelas (No.)

Con los datos obtenidos, se elaboraron las series históricas de los cinco años evaluados para el análisis de las tendencias de las variables durante el período de la investigación. Se estudió la asociación entre las variables y los años, a través de análisis de regresión lineal simple (p ≤ 0,05) para lo cual se utilizó el paquete estadístico SPSS, versión 22.0. Para los gráficos correspondientes se utilizó el Tabulador Microsoft Excel 2016.

Para conocer la percepción de los consumidores sobre el sistema de la AUSUF y su papel en la satisfacción de sus necesidades de alimentos, se diseñó una encuesta de 10 preguntas directas, cerradas, de respuesta múltiple y unipolar, en la cual se profundizó en aspectos como:

El estudio se realizó en tres provincias y seis municipios, representativos de las tres regiones geográficas del país, entre los años 2019 y 2020. En la región occidental se seleccionó la provincia La Habana (municipios Playa y Boyeros), en el centro se seleccionó la provincia Villa Clara (municipios Santa Clara y Placetas) y en el oriente fue seleccionada Santiago de Cuba (municipios II Frente y Palma Soriano). Para la selección de los municipios se consideró su ubicación geográfica dentro de la provincia, así como sus resultados históricos y estabilidad productiva en la implementación de esta modalidad de agricultura.

Para la investigación se utilizó una muestra no probabilística o dirigida. La encuesta se aplicó a un total de 207 consumidores, garantizando como mínimo 30 encuestados por cada municipio.

La información obtenida fue procesada mediante el paquete estadístico SPSS versión 22.0, con el que se realizó un análisis estadístico descriptivo de frecuencias, mostrándose los resultados a través de gráficos.

 

RESULTADOS Y DISCUSIÓN

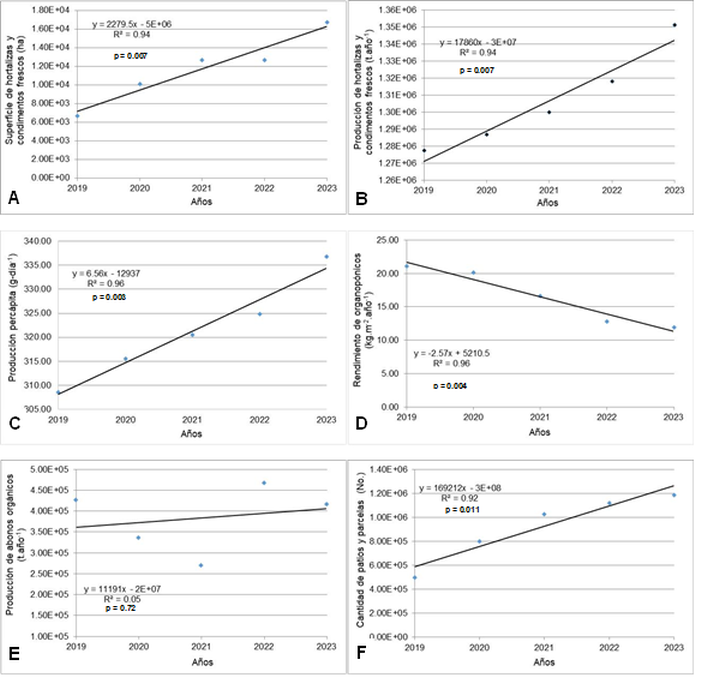
Los datos obtenidos en la revisión de los documentos utilizados para el estudio se muestran en la tabla 1, mientras que los resultados de los análisis estadísticos empleados para definir las tendencias en el tiempo (análisis de regresión lineal), aparecen en la figura 1.

Según puede apreciarse en la figura 1, en cinco de los seis indicadores se evidenció una relación lineal significativa entre la variable dependiente (indicadores) y la variable independiente (años).

Los indicadores superficie de hortalizas y condimentos frescos (A), producción de hortalizas y condimentos frescos (B), producción percápita de hortalizas (C), rendimiento de los organopónicos (D) y cantidad de patios y parcelas (F), manifestaron valores de significación (p) inferiores a 0,05 y altos coeficientes de determinación.

Excepto el rendimiento de los organopónicos, con una tendencia descendente, los demás expresaron una tendencia ascendente a través de los cinco años analizados.

El indicador producción de abonos orgánicos (E) tuvo un valor de p superior a 0, 05, lo cual indica que no existe una regresión lineal significativa entre dicho indicador y los años analizados, evidenciado por un coeficiente de determinación extremadamente bajo y una tendencia no bien definida.

Es de destacar que, a pesar de la disminución en el rendimiento de los organopónicos, el constante aumento en la superficie dedicada al sistema de la AUSUF y la producción de hortalizas y condimentos que se ha logrado, ha garantizado una tendencia creciente en la producción percápita de estos vegetales. No obstante, aún no se alcanza la meta establecida de un consumo percápita diario de vegetales y hortalizas de 400 g para el logro de una dieta saludable (FAO et al., 2022).

Tabla 1. Series históricas de indicadores seleccionados de la AUSUF en el período 2019-2023 para todo el país

Indicadores

U/M

2019

2020

2021

2022

2023

Superficie de hortalizas y condimentos frescos

ha

6 588

10 071

12 640

12 640

16 701

Producción de hortalizas y condimentos frescos

t

1 277 517

1 286 722

1 300 000

1 318 131

1 351 110

Producción percápita de hortalizas

g.día-1

308,6

315,6

320,5

324,8

336,5

Rendimiento de los organopónicos

kg.m-2.año-1

21,1

20,1

16,6

12,8

11,9

Producción de abonos orgánicos

t

427 000

337 000

270 000

468 063

417 424

Cantidad de patios y parcelas

No.

500 000

800 228

1 028 180

1 117 666

1 187 341

Fuente: Elaboración propia, a partir de los documentos analizados

Por otro lado, el aumento significativo de los patios y parcelas en los años analizados demuestra la percepción de los habitantes de las ciudades sobre la necesidad de suplir en alguna medida sus requerimientos alimentarios con productos sanos, frescos y saludables, a la vez que se obtienen beneficios relativos a la salud y el bienestar general, mantenimiento de herencias culturales y desarrollo comunitario, lo cual coincide con lo expresado por Poulsen y Spiker (2014).

Figura 1. Relación entre indicadores productivos seleccionados de la AUSUF y los años, en el período 2019-2023 (p ≤ 0,05)
Leyenda: A: Superficie dedicada a hortalizas y condimentos frescos, B: Producción anual de hortalizas y condimentos frescos, C: Producción percápita de hortalizas, D: Rendimientos en los organopónicos, E: Producción de abonos orgánicos, F: Cantidad de patios y parcelas dentro del sistema
Fuente: Elaboración propia

Esta percepción positiva de la población acerca del consumo de estos productos se ha logrado, en parte, por una campaña de sensibilización realizada en los últimos años por diversas instituciones del país, que abarca a los diferentes niveles de enseñanza, así como por los medios de comunicación y proyectos nacionales e internacionales que desarrollan charlas motivacionales en los territorios en los que inciden.

En sentido negativo, destaca el rendimiento de los organopónicos (D), con una fuerte tendencia a su disminución en los años evaluados, que llegó a valores muy inferiores a los 15 kg.m-2.año-1. Tal resultado puede deberse, entre otras causas, a la baja disponibilidad de nutrientes en el sustrato, al no poderse reponer o completar en los momentos oportunos, la demanda de los mismos por los cultivos, debido a la baja producción de abonos orgánicos que se aprecia en la tabla 1. La práctica de la agricultura urbana ha demostrado que el uso de los abonos orgánicos constituye un factor determinante para la producción con altos rendimientos, sin necesidad de aplicar fertilizantes químicos (Bello et al., 2022).

Por otro lado, puede considerarse que no siempre se ha podido alcanzar la humedad necesaria en el sustrato, cuestión esta que, de acuerdo a Zhang et al. (2021), es de vital importancia en los espacios verdes urbanos para lograr un buen crecimiento de las plantas. Estos autores sostienen que no se trata solo de aplicar agua, sino de manejar eficientemente la humedad del sustrato para lo cual pueden utilizarse materiales orgánicos como cobertura del suelo, los cuales pueden, en forma efectiva, absorber agua y suprimir la evaporación de esta en el suelo. Esta práctica no siempre se realiza en las unidades productoras de la AUSUF.

Al analizar el desarrollo y cumplimiento de estos indicadores en las unidades productoras del sistema, se hace evidente la complejidad que implica mantener una producción constante de productos frescos e inocuos a nivel territorial, para lo cual se realizan múltiples esfuerzos, ya que constituye una demanda expresa de la población el consumo de estos alimentos, los cuales son comercializados por diferentes vías (Figura 2).

Según se aprecia, más del 70 % de los encuestados manifestó su preferencia por adquirir los productos agrícolas necesarios en los puntos de venta dentro de las propias unidades productoras o directamente con los productores. Al analizar los motivos, se podría inferir que ambas vías pueden garantizar precios de venta más asequibles a la población, a la vez que evitan o minimizan la pérdida de calidad del producto, debido a la transportación que se utiliza en cadenas de comercialización más largas, como los mercados y ferias agropecuarias.

Estos resultados se corresponden con lo informado por González Azcárate et al. (González Azcárate et al., 2021), sobre la tendencia actual al desarrollo de alternativas que proporcionan a la población productos locales de calidad, principalmente a través de cadenas alimentarias de suministro cortas, que recrean formas de relaciones de proximidad entre productores y consumidores.

Figura 2. Alternativas para la adquisición por los consumidores de productos agrícolas
Fuente: Elaboración propia

En relación con este tema, Feldmann y Hamm (2015) destacaron que el interés de los consumidores por los alimentos locales no ha dejado de aumentar en los últimos años, y que los mismos son considerados como baratos. Una fuente importante que proporciona alimentos locales es la agricultura urbana, en la cual muchos agricultores venden sus productos directamente a los consumidores (Grebitus et al., 2017).

Es indudable que esta forma de producción goza de gran popularidad dentro de la población, la cual ha ganado en cultura sobre la importancia de consumir vegetales y alimentos frescos a precios asequibles, por lo que constituye una demanda que perdura (Figura 3).

En este sentido, se evidencia como más del 95 % de los encuestados manifiesta que estas unidades productoras deben mantenerse en las comunidades, incluso, más de un 35 % desea que sean incrementadas en sus localidades. De esta manera se evita que los consumidores se trasladen a distancias considerables para poder adquirir los productos que en ellas se ofertan. Estos resultados corroboran lo expresado por Companioni et al. (2017), en cuanto a la necesidad y el alcance del sistema de la AUSUF y su contribución al autoabastecimiento alimentario local, e indica el nivel de compromiso de la comunidad con esta modalidad de agricultura, lo cual es un elemento básico para lograr éxitos en los proyectos encaminados a la producción de alimentos en el entorno de las ciudades (Poulsen & Spiker, 2014).

Figura 3. Opinión de los consumidores sobre la presencia de unidades productoras y comercializadoras del sistema de la AUSUF en la localidad
Fuente: Elaboración propia

De manera general, la valoración realizada por los consumidores permite plantear que el Sistema de AUSUF en Cuba constituye una fuente importante de adquisición de alimentos para la población, la cual, además, mostró un alto grado de satisfacción con los productos comercializados en el mismo, fundamentalmente para proveer a la comunidad de productos frescos, sanos y variados. Referido al acceso de los consumidores al sistema, Enthoven y Van den Broeck (2021) han señalado que la transición hacia sistemas alimentarios más inclusivos, resilientes y sostenibles garantiza el acceso de los consumidores a alimentos seguros y nutritivos.

Teniendo en cuenta los resultados de este trabajo, se puede concluir que, a pesar de la difícil situación creada por la pandemia de la COVID-19 y la crisis económica sufrida por el país en los últimos años, el sistema de la AUSUF de Cuba mantuvo su vitalidad y logró sus niveles de producción de hortalizas y condimentos frescos a partir del aumento de la superficie dedicada a este fin, lo que constituye un componente importante de los sistemas alimentarios, lo que se traduce en la satisfacción, en buena medida, de la demanda de la población en cuanto a vegetales y hortalizas. Por otra parte, los consumidores de productos agrícolas tienen una percepción positiva sobre el sistema de la AUSUF en Cuba, manifestada en la demanda de los mismos para que se mantengan y se incrementen las unidades productoras a nivel de las comunidades y sus preferencias por modalidades de comercialización que establecen relaciones de proximidad entre productores y consumidores, como los puntos de venta dentro de las unidades productoras y la compra directa al productor.

 

REFERENCIAS BIBLIOGRÁFICAS

Bello, R., Companioni, N., Peña, E., Ortiz, L., & Rodríguez, G. (2022). Movimiento de la agricultura urbana, suburbana y familiar. En A. Nova González, Agricultura en Cuba: Entre retos y transformaciones (pp. 147-172). Editorial Caminos. https://www.libreriavirtual.cu/agricultura-en-cuba-entre-retos-y-transformaciones

Califano, G., Crichton Fock, A., & Spence, C. (2024). Consumer perceptions and preferences for urban farming, hydroponics, and robotic cultivation: A case study on parsley. Future Foods, 9, 100353. https://doi.org/10.1016/j.fufo.2024.100353

Companioni, N., Rodríguez Nodals, A., & Sardiñas, J. (2017). Avances de la agricultura urbana, suburbana y familiar. Agroecología, 12(1), 91-98. https://revistas.um.es/agroecologia/article/view/330401

De Simone, M., Pradhan, P., Kropp, J. P., & Rybski, D. (2023). A large share of Berlin's vegetable consumption can be produced within the city. Sustainable Cities and Society, 91, 104362. https://doi.org/10.1016/j.scs.2022.104362

Drottberger, A., Zhang, Y., Yong, J. W. H., & Dubois, M.-C. (2023). Urban farming with rooftop greenhouses: A systematic literature review. Renewable and Sustainable Energy Reviews, 188, 113884. https://doi.org/10.1016/j.rser.2023.113884

Enthoven, L., & Van den Broeck, G. (2021). Local food systems: Reviewing two decades of research. Agricultural Systems, 193, 103226. https://doi.org/10.1016/j.agsy.2021.103226

FAO, IFAD, UNICEF, WFP, & WHO. (2022). The state of food security and nutrition in the world 2022. Repurposing food and agricultural policies to make healthy diets more affordable. FAO | IFAD | UNICEF | WFP | WHO. https://doi.org/10.4060/cc0639en

Feldmann, C., & Hamm, U. (2015). Consumers' perceptions and preferences for local food: A review. Food Quality and Preference, 40, 152-164. https://doi.org/10.1016/j.foodqual.2014.09.014

González Azcárate, M., Cruz Maceín, J. L., & Bardají, I. (2021). Why buying directly from producers is a valuable choice? Expanding the scope of short food supply chains in Spain. Sustainable Production and Consumption, 26, 911-920. https://doi.org/10.1016/j.spc.2021.01.003

Górna, A., & Górny, K. (2020). Urban agriculture in Havana - Evidence from empirical research. Miscellanea Geographica, 24(2), 85-93. https://doi.org/10.2478/mgrsd-2020-0012

Grebitus, C., Printezis, I., & Printezis, A. (2017). Relationship between consumer behavior and success of urban agriculture. Ecological Economics, 136, 189-200. https://doi.org/10.1016/j.ecolecon.2017.02.010

Jansma, J. E., & Wertheim Heck, S. C. O. (2022). Feeding the city: A social practice perspective on planning for agriculture in peri-urban Oosterwold, Almere, the Netherlands. Land Use Policy, 117, 106104. https://doi.org/10.1016/j.landusepol.2022.106104

Nesheli, S. A., & Salaj, A. T. (2024). Urban farming for social benefit. IFAC-PapersOnLine, 58(3), 351-356. https://doi.org/10.1016/j.ifacol.2024.07.176

Opoku, A., Duff, A., Yahia, M. W., & Ekung, S. (2024). Utilisation of green urban space for food sufficiency and the realisation of the sustainable development goals - UK stakeholders perspective. Geography and Sustainability, 5(1), 13-18. https://doi.org/10.1016/j.geosus.2023.10.001

Poulsen, M. N., & Spiker, M. L. (2014). Integrating urban farms into the social landscape of cities: Recommendations for strengthening the relationship between urban farms and local communities. Johns Hopkins Bloomberg School of Public Health. https://my.ucanr.edu/blogs/UrbanAg/blogfiles/25902.pdf

Royer, H., Yengue, J. L., & Bech, N. (2023). Urban agriculture and its biodiversity: What is it and what lives in it? Agriculture, Ecosystems & Environment, 346, 108342. https://doi.org/10.1016/j.agee.2023.108342

Zhang, Y., Qiao, L., Chen, C., Tian, L., & Zheng, X. (2021). Effects of organic ground covers on soil moisture content of urban green spaces in semi-humid areas of China. Alexandria Engineering Journal, 60(1), 251-259. https://doi.org/10.1016/j.aej.2020.08.001

 

Conflicto de intereses

Los autores declaran no tener conflictos de intereses.

 

Contribución de los autores

Todos los autores diseñaron el estudio, analizaron los datos y elaboraron el borrador; estuvieron implicados en la recogida, el análisis e interpretación de los datos. Todos revisaron la redacción del manuscrito y aprueban la versión finalmente remitida.

 


Esta obra está bajo una licencia Creative Commons Reconocimiento-NoComercial 4.0 Internacional