Cooperativismo y Desarrollo, May-August 2024; 12(2), e692
Translated from the original in Spanish

 

Experience of good practices

Community perception in San Juan de Churin on the impact of tourism on local development

 

Percepción comunitaria en San Juan de Churin sobre los impactos turísticos en el desarrollo local

 

Percepções da comunidade em San Juan de Churin sobre os impactos do turismo no desenvolvimento local

 

Mariela Stacy Solano Lavado1 0000-0002-1752-5300 stacysolano@hotmail.com
Florisa Graciela García Chumioque1 0000-0002-5972-4164 fgarciac@unmsm.edu.pe
Patricia Maribel Yllescas Rodríguez2 0000-0002-4244-8167 pyllescas@ucv.edu.pe
Mirlandia Odilia Valdés Florat3 0000-0001-9035-0861 mirlandia.valdes@reduc.edu.cu

1 National University of San Marcos. Perú.
2 César Vallejo University. Perú.
3 University of Camagüey "Ignacio Agramonte Loynaz". Camagüey, Cuba.

 

Received: 21/11/2023
Accepted: 24/06/2024


ABSTRACT

The scientific literature in the field of sustainable tourism emphasizes the crucial importance of the perception of the host community in small tourist destinations, due to its significant impact on the quality perceived by tourists. The objective of this article is to examine the perception of the host community of San Juan de Churin with respect to the economic, social and environmental development derived from tourism activity. A mixed methodology with a cross-sectional design was implemented to categorize the members of the host community into hierarchical groups, based on their perception of the impact of tourism on local development. The study combined quantitative (survey with closed-ended questions) and qualitative (semi-structured interviews) methods. In-depth interviews revealed a convergence between leaders and community regarding the perception of achievements and challenges of local sustainable tourism. Spearman's correlation analysis, applied to the survey results, evidenced a moderate to strong positive relationship, between the dimensions of economic, social and environmental development and the overall perception of development by the community (0.563 ≤ ρ ≤ 0.834). Hierarchical cluster analysis, combined with nonparametric analysis of variance (Kruskal-Wallis Test), identified groups of individuals with similar perceptions of local tourism development. This classification provides an in-depth understanding of variations in community perceptions and needs, which could guide specific tourism management strategies and policies.

Keywords: development perception; sustainable tourism; host community; small tourist destinations.


RESUMEN

La literatura científica en el campo del turismo sostenible enfatiza la importancia crucial de la percepción de la comunidad receptora en los pequeños destinos turísticos, debido a su impacto significativo en la calidad percibida por los turistas. Examinar la percepción de la comunidad receptora de San Juan de Churin respecto al desarrollo económico, social y medioambiental, derivado de la actividad turística, constituye el objetivo de este artículo. Para su cumplimiento se implementó una metodología mixta con diseño transversal para categorizar a los miembros de la comunidad receptora en grupos jerárquicos, basándose en su percepción del impacto turístico en el desarrollo local. El estudio combinó métodos cuantitativos (encuesta con preguntas cerradas) y cualitativos (entrevistas semiestructuradas). Las entrevistas en profundidad revelaron una convergencia entre líderes y comunidad en cuanto a la percepción de logros y desafíos del turismo sostenible local. El análisis de correlación de Spearman, aplicado a los resultados de la encuesta, evidenció una relación positiva de moderada a fuerte, entre las dimensiones de desarrollo económico, social y medioambiental y la percepción general del desarrollo por parte de la comunidad (0,563 ≤ ρ ≤ 0,834). El análisis de clúster jerárquico, combinado con el análisis de varianza no paramétrico (Prueba de Kruskal-Wallis), identificó grupos de individuos con percepciones similares sobre el desarrollo turístico local. Esta clasificación proporciona una comprensión profunda de las variaciones en percepciones y necesidades de la comunidad, lo que podría orientar estrategias de gestión turística y políticas específicas.

Palabras clave: percepción del desarrollo; turismo sostenible; comunidad receptora; destinos turísticos pequeños.


RESUMO

A literatura científica no campo do turismo sustentável enfatiza a importância crucial da percepção da comunidade anfitriã em pequenos destinos turísticos, devido ao seu impacto significativo na qualidade percebida pelos turistas. O objetivo deste artigo é examinar a percepção da comunidade anfitriã de San Juan de Churin em relação ao desenvolvimento econômico, social e ambiental derivado da atividade turística. Foi implementada uma metodologia mista com um projeto de corte transversal para categorizar os membros da comunidade anfitriã em grupos hierárquicos com base em sua percepção do impacto do turismo no desenvolvimento local. O estudo combinou métodos quantitativos (pesquisa com perguntas fechadas) e qualitativos (entrevistas semiestruturadas). As entrevistas aprofundadas revelaram uma convergência entre os líderes e a comunidade em termos de percepções das conquistas e dos desafios do turismo sustentável local. A análise de correlação de Spearman, aplicada aos resultados da pesquisa, mostrou uma relação positiva moderada a forte entre as dimensões de desenvolvimento econômico, social e ambiental e a percepção geral de desenvolvimento da comunidade (0,563 ≤ ρ ≤ 0,834). A análise de agrupamento hierárquico, combinada com a análise não paramétrica de variância (teste de Kruskal-Wallis), identificou grupos de indivíduos com percepções semelhantes do desenvolvimento do turismo local. Essa classificação fornece uma compreensão aprofundada das variações nas percepções e necessidades da comunidade, o que poderia orientar estratégias e políticas específicas de gerenciamento do turismo.

Palavras-chave: percepções de desenvolvimento; turismo sustentável; comunidade anfitriã; pequenos destinos turísticos.


 

INTRODUCTION

Sustainable tourism is an issue of unquestionable relevance in the current context. In a world in constant evolution and with growing environmental awareness, sustainable tourism emerges as an essential response to the challenges posed by the global tourism industry. Its potential to promote responsible practices, minimize environmental impact and contribute to the well-being of local communities is widely recognized.

The choice to investigate the host community's perception of the impacts of tourism on development in smaller destinations is not fortuitous. These destinations are often places where the interaction between visitors and the local population is more direct and significant. The host community plays a fundamental role in shaping the tourism experience in small destinations. The free and open expression of their feelings and fundamental characteristics and their willingness to welcome visitors who wish to learn about their uniqueness significantly impact the tourist experience and thus influence the sustainability of the destination (Alamineh et al., 2023; Diedrich & García Buades, 2009; García Martínez et al., 2015; Huo et al., 2023; Moreno Freites et al., 2019; Ramkissoon, 2023; Zielinski & Botero, 2011).

When the community perceives that tourism has a positive impact on the local economy, preservation of culture and improvement of quality of life, they are more likely to support and actively participate in sustainable initiatives. On the other hand, if the perception is negative due to problems such as congestion, environmental degradation, or the actual or potential lack of equitable economic benefits, resistance to tourism may arise and threaten its sustainability (Alamineh et al., 2023; Garcia Martinez et al., 2015; Otero Gomez et al., 2016).

Destinations that have adopted sustainable practices have reported favorable community perceptions of benefits in terms of environmental conservation, diversification of the economy, and improvement in the quality of life of residents (Getachew, 2020; Moreno Freites et al., 2019). The cited authors affirm the existence of positive and strong correlations (0.60 ≤ r ≤ 0.79) between perceptions of the different dimensions of development in those communities where sustainable tourism management is considered successful.

In other words, the community's perception of tourism and its local development can influence the perceived quality of the destination by tourists. Therefore, the host community's perception of the economic, social and environmental development induced by tourism activity in small destinations becomes a crucial point of convergence of interests among all parties involved.

Moreno Freites et al. (2019) point out that successful implementation of sustainable tourism in small destinations is highly dependent on strategic planning and effective management. It has also been found that communities involved in tourism planning and decision-making tend to have a more positive perception of sustainable tourism and that education and awareness can influence community perception and support for responsible tourism (Pekerşen & Kaplan, 2023; Ramkissoon, 2023; Rasoolimanesh et al., 2017; Vodeb et al., 2021).

This fully justifies the importance that should be given to the community's perception of the benefits of tourism in the process of defining tourism management strategies and specific policies by local governments, which should lead such development by promoting the progress of the locality and human well-being in balance with the environment (Alieva & Usmonova, 2021; Dłużewska & Giampiccoli, 2021).

According to Diedrich and García Buades (2009), residents' perception of the impact of tourism activity on the development of their locality is intrinsically linked to the balance they establish between costs and benefits in economic, social and environmental aspects. García Martínez et al. (2015, p. 26) define community perception as "the positive (disposition) or negative (opposition) attitude towards the promotion of tourism as a socioeconomic activity within a community".

In this study, the latter definition is adopted recognizing that the balance between costs and benefits represents one of the sources of this perception and that there are other influential factors such as the type of tourist visiting the area, cultural differences compared to local residents, the importance of tourism as a source of income for the community, the degree of community participation in the management of tourism development, the perspective that the local government attributes to tourism activity, the speed of growth of tourism in the locality, among other aspects (Zielinski & Botero, 2011).

In Peru, tourism plays a significant role in small communities by providing economic opportunities and promoting the conservation of cultural and natural heritage. It has developed largely thanks to the initiative of local entrepreneurs and the support of cooperation organizations and private companies. Many rural communities have improved the quality of life of their inhabitants thanks to tourism. Rural community-based tourism in Peru not only offers visitors the opportunity to experience life in rural communities, but also contributes to local economic development and the preservation of the culture and natural environment (Calatayud Mendoza et al., 2021; Llerena Cruz & Carbajal Choque, 2021).

Recently there has been an increase in explicit recognition of the challenges facing rural and community-based tourism in Peru, which is limited by the lack of infrastructure in rural communities, insufficient access roads, lack of training and financing, and negative environmental impacts if tourism activity is not properly managed (Barrientos Farías et al., 2022; Marchan Solier et al., 2021). The relevance of community participation in this management process is also recognized.

Despite the importance of systematically monitoring the perceptions of small tourist communities on the impact of tourism on the dimensions of community development, it has not been possible to verify the existence of methodological proposals that contribute to these purposes in the Peruvian national context.

The study was conducted in the town of San Juan de Churin, capital of the Pachangara District, province of Oyón, in the Lima region of Peru. San Juan de Churin is located 2,080 meters above sea level, is a small-scale tourist destination, located in the mountains of the Peruvian Andes, and is characterized by its abundant natural hot springs, recognized for their therapeutic qualities, as well as its pristine natural landscapes, rich cultural heritage and active community participation.

This research is based on the empirical observation of some positive impacts on the economic standard of living of the community of San Juan de Churin, as a consequence of tourism activity, which, to some extent contrasts with some visible negative impacts on the urban architecture of the community and unsatisfied social needs related to educational opportunities and health care in the locality.

During the fieldwork, using a methodology that combines quantitative and qualitative approaches, it is investigated the perceptions and perspectives of prominent leaders in the government and tourism context regarding the economic, social and environmental development of the host community of San Juan de Churin, in contrast to the community's own perceptions of the impact of tourism on local development in the same dimensions.

Given the importance of this approach, the characterization of the host community's perception of the impact of tourism on the development of the locality is delved in deep. The correlation between community perceptions in relation to the various dimensions of tourism development is analyzed and possible significant differences in the distribution of these perceptions are examined. To identify groups with similar perceptions, hierarchical cluster analysis is employed.

All of this responds to the central objective of this study: to examine the perception of the host community in the town of San Juan de Churin in relation to the economic, social and environmental development derived from tourism activity.

 

MATERIALS AND METHODS

The methodology adopted in this study combines a quantitative and qualitative orientation, characterized by its correlational approach and cross-sectional design.

The research was conducted during the months of January to May 2022 in the District of Pachangara, which has 1834 inhabitants. The study included several moments of data collection.

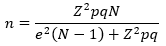
The sample size was calculated using the following formula, recognized as valid by Lohr (2021):

Where:

Substituting the values in the formula:

The questionnaire was composed of 18 questions to be answered using a five-level Likert scale. The first six questions of the survey focused on exploring the perception of the participants in relation to the influence of tourism activity on the economic development of the locality. This includes aspects such as their participation in the processes of income generation and distribution, diversification of employment opportunities, improvements in infrastructure and technology.

Questions 7 to 12 seek to evaluate the perception of how tourism can contribute to the advancement of social development in the region. This includes access to public health and education services, the availability of training programs to improve the employability of the inhabitants, the development of communications and entertainment options, as well as the promotion of culture and the preservation of local heritage.

Questions 13 to 18 seek to understand how tourism is perceived to contribute to the conservation and progress of the natural and architectural environment of San Juan de Churin. This involves considering how tourism activity can influence the protection and sustainable development of natural resources and the preservation of the locality's valuable architectural and archaeological heritage.

Four variables were calculated: Perception of economic development, Perception of social development, Perception of environmental development and General perception of development. For the calculation of each variable, the maximum expected scores for each were added up (30 for the variables Perception of economic development, Perception of social development and Perception of environmental development, and 90 for the General perception of development). These scores were subdivided into five ranks, with a value of 1 assigned to the lowest rank and values 2, 3, 4 and 5 to the following ranks. The observed scores of each subject for the questions related to each variable were then summed and, based on the results obtained, they were assigned the value corresponding to the rank that best reflected the sum of their responses.

To evaluate the reliability of the questionnaire, Cronbach's Alpha Coefficient was used. Then, the Kolmogorov-Smirnov Normality Test was performed for a sample, which was selected because the sample size exceeded 50 subjects (n = 70).

Once it was confirmed that the variables did not follow a normal distribution, it was decided to use Spearman's Correlation Coefficient to identify the nature of the relationships between the study variables, considering both their strength and direction.

In order to reveal underlying patterns and structures in the data that might not be immediately evident through conventional analysis, we have chosen to perform a Hierarchical Cluster Analysis using the variables of perception of economic, social and environmental development. This choice is based on the close interconnection that exists in reality between these variables.

Hierarchical Cluster Analysis provided the capacity to simplify the complexity of the data, reveal general patterns in perceptions of development, and categorize community residents into homogeneous groups according to their perceptions. The general perception of development variable was not included in this analysis, as this variable is derived from the sum of questions related to the other variables, making the inclusion of the general perception of development redundant in this context.

The Ward clustering method was chosen because of its capacity to minimize the variance within clusters, which implies that it tends to form clusters that are highly homogeneous in terms of similarities between subjects.

A descriptive characterization of the clusters was carried out, considering the percentage of subjects who assigned very high (5 points), high (4 points), moderate (3 points), low (2 points) and very low (1 point) scores to each of the variables that made up the clusters.

Subsequently, in order to characterize in deep the identified clusters, a nonparametric analysis of variance was carried out using the Kruskal-Wallis test. This analysis was carried out to determine whether there were statistically significant differences between the clusters in relation to the study variables. Once this process was completed, descriptive labels were assigned to each cluster and their fundamental characteristics were detailed.

The following are some of the limitations of the study:

 

RESULTS AND DISCUSSION

The qualitative analysis of the results is based on semi-structured interviews with the Head of the Tourism Area in San Juan de Churin, the Mayor of Pachangara and the Manager of the Asortur Tourism Agency in Pachangara, as well as three interviews with focus groups composed of 6, 7 and 12 residents, respectively, linked to tourism activities in the locality. These conversations yielded valuable information about the role that both parties (management and community) attribute to tourism in the sustainable development of the region, what projections are made in this regard and what role they attribute to the community in the development of tourism in the locality. The following is a summary of all the considerations gathered during the interviews.

Both managers and interviewed community members recognize the importance of tourism as a source of income diversification in the locality. Both groups see tourism as an opportunity to take advantage of natural resources and promote a wide range of tourism activities.

There is general agreement on the need to develop a Local Tourism Development Plan that involves diverse stakeholders and the active participation of the community. The managers and community members interviewed see education and training as an essential tool to improve local economic opportunities. They recognize the infrastructure difficulties to achieve faster travel from Lima to San Juan de Churin. They also point out the need to improve access to the archeological sites.

These perspectives reflect a comprehensive vision to promote the economic development of San Juan de Churin through tourism, which involves investments in infrastructure, involves the community, contemplates long-term planning, and prioritizes training while diversifying tourism activities to take full advantage of local resources.

In terms of social development, both samples of interviewees recognized that the quality of life has experienced growth in recent years. However, they recognize the existence of challenges in terms of access to health and education services. In San Juan de Churin, there is only one health center, which means that in significant emergencies, it is necessary to travel to the city of Huacho. Education is limited to the secondary level in the town, which restricts educational opportunities for young people.

Interviewees emphasize the need to increase tourism awareness and training among the local population. This is considered essential to strengthen the different tourism segments such as thermal, ecological and adventure tourism, in addition to improving the quality of local tourism services. They also consider it essential to create initiatives to encourage community participation in local events and traditions, such as carpet making and the representation of legends during tourist festivities.

Considering the above comments, it can be affirmed that there is agreement on the primary objective of promoting tourism awareness, raising the quality of life through tourism and addressing challenges related to health and education. At the same time, they recognize the importance of training staff and expanding tourism activities promoted by the municipality to strengthen social development in the locality.

Regarding environmental development, interviewees pointed to the need to maximize the use of natural resources, particularly hot springs. Other natural resources such as snow-capped mountains, lagoons, and archeological sites were also highlighted.

They emphasize the importance of increasing public awareness and education for the conservation of the natural and architectural environment. Urban planning-oriented projects have been initiated that aim to conserve the beauty and unique characteristics of San Juan de Churin, thus preserving the architectural heritage and identity.

Both groups agree on the need to maintain a balance between exploiting and preserving natural resources, improving tourism infrastructure, preserving the architectural heritage, raising awareness among both the local community and visitors, and promoting more sustainable urban development in order to maintain the unique beauty and identity of the locality. The explicit manifestation of these intentions constitutes a strength for the development of sustainable tourism in San Juan de Churin. It is important to consider that other researchers have reported that, in the face of the economic benefits that tourism brings, residents may show a willingness to accept the negative environmental and social impacts that it generates (Cañero Morales et al., 2017).

In the spontaneous responses of the interviewees, a strong will to promote tourism development in the locality is evident. In this context, there is a strong emphasis on the importance of active community participation in decision-making processes related to the development of sustainable tourism. This claim is common in the results of research consulted such as those of Vodeb et al. (2021), Pekerşen and Kaplan (2023) and Ramkissoon (2023) and is recognized as a guarantee for the sustainability of development.

Although this community involvement is highly valuable and has the potential to drive more genuine and sustainable tourism, there is sometimes a slight inclination to depart from this approach, which should primarily focus on the long-term well-being and prosperity of the local community. This is evident in the notable omission of explicit statements related to the need to monitor community perceptions of well-being as a priority source of information for the strategy.

To ensure that the projections materialize effectively, it is essential to delve deeper into the perceptions of the inhabitants of San Juan de Churin regarding the feasibility of using tourism as an alternative to increase the economic, social and environmental development of their locality, as well as their degree of satisfaction with the achievements attained. In order to gather accurate information on the population's perception of these crucial aspects, a rigorous survey process involving residents related to tourism activity was carried out.

The main objective of the survey was to capture the perceptions of the inhabitants regarding the degree to which tourism contributes to social, economic and environmental development in Churin. Through this tool, it was sought to obtain a more complete and detailed view of how the community perceives the evolution of their locality in these key areas. This feedback is essential to evaluate the effectiveness of the projections and adjust them as necessary in line with the needs and aspirations of the population.

After collecting the respondents' answers, a database was created using IBM SPSS Statistics version 25 software. In the first stage, Cronbach's Alpha Coefficient was calculated, which yielded a result of ∝ = 0.921. This value indicates a solid correlation between the 18 questions of the questionnaire and suggests that they coherently measure the same construct or concept, thus demonstrating the internal consistency of the instrument.

The Kolmogorov-Smirnov normality test was then performed. The results presented in table 1 indicate that none of the data sets of the variables analyzed followed a normal distribution.

Table 1. Normality tests

 

Kolmogorov-Smirnovaa

Statistician

Degrees of freedom (gl)

p-value (Sig.)

Economic development

.266

70

.000

Social development

.233

70

.000

Environmental development

.369

70

.000

Total

.241

70

.000

a Lilliefors significance correction
Source: Own elaboration

The absence of normality in the distribution of the variable data required the use of nonparametric tests to make inferences based on the responses obtained. Table 2 presents the results of the calculation of Spearman's Rho Coefficient to evaluate the correlations between the variables of interest. The findings reveal the presence of significant positive correlations (p = 0.02 at most) between all pairs of variables analyzed. This suggests that, in general terms, the four dimensions evaluated tend to follow a similar trend to the extent that one of them improves or worsens.

The following criteria were used to qualify the levels of correlation observed:

Table 2. Correlation between variables

Spearman's Rho

 

Economic D

Social D

Environmental D

Total

Economic development

ρ

1.000

.652**

.369**

.802**

Sig.

.

.000

.002

.000

Social development

ρ

.652**

1.000

.381**

.834**

Sig.

.000

.

.001

.000

Environmental development

ρ

.369**

.381**

1.000

.563**

Sig.

.002

.001

.

.000

Total

ρ

.802**

.834**

.563**

1.000

Sig.

.000

.000

.000

.000

** Correlation is significant at the 0.01 level (bilateral)
Source: Own elaboration

In particular, it is observed that the correlations between economic development and social development (ρ = 0.652) are characterized by being strong. On the other hand, the correlations between the perception of economic development and the general perception of development (Total) (ρ = 0.802), as well as between the perception of social development and the general perception of development (ρ = 0.834) stand out and are considered very strong.

In addition, the correlation between the perception of environmental development and the general perception of development (ρ = 0.503) is rated as moderate. In contrast, the correlations between the perception of economic development and the perception of environmental development, as well as those between social development and environmental development, although still positive, possess weak strength (ρ = 0.369 and ρ = 0.381 respectively). This implies that, according to the perception of the inhabitants, economic growth generates environmental development, but this relationship is of limited strength. This finding deserves attention as it may be an indicator of sources of imbalance between the dimensions of development that need to be addressed.

Next, a Hierarchical Cluster Analysis was conducted with the purpose of identifying groups of individuals in the locality that share similar perceptions about economic, social and environmental development of the locality. Figure 1 shows the resulting dendrogram.

The general observation of the resulting graph led to the conclusion that a cut-off at level 5 of the scale would leave the perceptions of a considerable number of people ungrouped. On the other hand, a cut-off at level 8 of the scale would group into the same classification several sets of subjects with different perceptions, which would result in these differences being excluded from the analysis. It was considered that the best alternative would be to make a cut-off at level 7 of the scale, thus achieving the greatest possible synthesis without losing relevant information. This led to the identification of 4 clusters: Cluster 1 (31 subjects), Cluster 2 (4 subjects), Cluster 3 (12 subjects) and Cluster 4 (23 subjects).

Figure 1. Dendrogram obtained through hierarchical cluster analysis using Ward's Method
Source: Own elaboration

From this, it can be inferred that the most representative clusters in the population studied are Cluster 1 and Cluster 4, while Cluster 2 is the least representative in the population of San Juan de Churin.

In the figures below (figure 2 for economic development, figure 3 for social development and figure 4 for environmental development), the percentages that summarize the distribution of each cluster in the different levels of perception (1, 2, 3, 4 and 5). From these results are presented, we can describe the clusters as follows:

Figure 2. Perception of economic development by the subjects of each cluster
Source: Own elaboration

Figure 3. Perception of social development by the subjects of each cluster
Source: Own elaboration

Figure 4. Perception of environmental development by the subjects of each cluster
Source: Own elaboration

These results reveal, in general, a low proportion of respondents who perceive negative impacts of tourism. To determine whether there are significant differences between the identified clusters and which dimensions distinguish them, the Kruskal-Wallis one-factor nonparametric analysis of variance was used. Table 3 shows the summary of the results of the application of the test to determine whether there are significant differences between the clusters in the perception of each of the dimensions of development.

Table 3. Kruskal-Wallis test statistics by variable

Parameters

Economic D

Social D

Environmental D

Total N

70

70

70

Test statistic (K)

50.827a

45.721a

36.414a

Degrees of freedom

3

3

3

Asymptotic significance (two-tailed test)

0.000

0.000

0.000

Source: Created from results generated by IBM SPSS Statistics version 25 software

The results shown in table 3 suggest that the identified clusters present distinctive characteristics in their perceptions of the three dimensions of development analyzed.

Table 4 presents a detailed summary of the paired comparisons between the clusters, with the purpose of providing an in-depth and nuanced perspective on the differences and similarities in perceptions of economic, social and environmental development in San Juan de Churin.

Table 4. Paired comparisons between clusters using the Kruskal-Wallis statistical test

Comparisons between clusters

Economic D

Social D

Environmental D

K

Sig.

K

Sig.

K

Sig.

Cluster 1-Cluster 2

49.427

.000

45.806

.000

42.718

.000

Cluster 1-Cluster 3

34.927

.000

38.140

.000

4.718

1.000

Cluster 1-Cluster 4

25.460

.000

15.676

.020

21.968

.000

Cluster 2-Cluster 3

-14.500

1,000

-7.667

1.000

-38.000

.001

Cluster 2-Cluster 4

-23.967

.126

-30.130

.025

-20.750

.165

Cluster 3-Cluster 4

-9.467

.992

-22.464

.007

17.250

.032

Source: Created from results generated by IBM SPSS Statistics version 25 software

From the results presented in Figures 2, 3 and 4 and Tables 3 and 4, the following conclusions can be drawn:

In summary, significant differences in perceptions of development are observed among the four clusters. Based on these differences and the trends identified, the proposed labels for the clusters and recommended actions to be taken with them could be as follows:

Cluster 1: "Optimists of integral development"

This group, made up of 31 individuals, represents the majority of the sample (44.3%) and is characterized by perceiving very high or high levels of development in all dimensions as a result of tourism activity. They are aligned with the idea that tourism can have a positive impact on economic, social and environmental development.

The subjects belonging to this cluster can be key allies in the promotion of policies and projects related to tourism that foster a balanced and sustainable development in the community.

Cluster 2: "Pessimists of integral development"

Although this group represents a smaller proportion of the sample (5.7%), their opinions are equally valuable. The 4 subjects in this cluster tend to perceive low and very low levels of development in all dimensions due to tourism activity.

The considerations of these subjects can serve as an alert and opportunity for improvement in the management of the development of San Juan de Churin, so in future research it is necessary to investigate aspects of this group such as the role they play in relation to tourism activity, the place in the community where they have their residence and the fundamental arguments that support their perceptions. Identifying and addressing the challenges perceived by respondents in this cluster and working on solutions to change this negative perception is essential. Encouraging the participation of these subjects in projects with tangible improvements can also be key.

Cluster 3: "Focused on economic and social development, with high Environmental Development"

This group, representing 17.1% of the sample, stands out for perceiving economic and social development at mainly moderate levels and high environmental development. They can emphasize the importance of taking sustainable advantage of San Juan de Churin's natural resources to boost the community's economic and social development. Their perspectives can guide the planning of projects that balance these dimensions.

Cluster 4: "Focused on economic and environmental development, with varied social development"

Comprising a significant proportion of 23 individuals (32.9% of the sample), this cluster tends to perceive mainly high levels of economic and environmental development, although with a variable perception of social development. Their considerations may catalyze initiatives and projects that focus on social development in balance with their perceived high levels of economic and environmental development.

The four clusters identified in the community reflect a diversity of perspectives that should be considered in planning and decision-making to achieve balanced and sustainable tourism development in San Juan de Churin. The precision of the characteristics of each cluster can be exploited in the following way:

The significant correlations found have corroborated in the study locality what was raised by authors such as García Martínez et al. (2015), Moreno Freites et al. (2019) and Alamineh et al. (2023) about the fact that sustainable tourism management in small destinations cannot be realized if economic, social and environmental aspects and community perceptions are not addressed in an integrated manner. One-dimensional approaches are not enough; an integrative strategy is required.

The findings of this study also highlight the critical importance of community perception in the acceptance and sustainability of tourism in small tourism destinations. Consequently, they underscore the importance of actively involving the community in tourism-related decision-making, concurring with the findings of several authors in recent scientific literature (Alieva & Usmonova, 2021; Dłużewska & Giampiccoli, 2021; Huo et al., 2023; Zielinski & Botero, 2011). Community participation not only fosters a more positive perception of tourism, but also strengthens local identity and promotes a sense of ownership in tourism development.

While the community shows a clear willingness to promote tourism development, it is esential to address identified challenges such as the need to balance economic benefits with the preservation of the local environment and culture. These challenges also present opportunities to create more authentic and sustainable tourism.

This study highlights the importance of understanding and addressing community perceptions in managing sustainable tourism in small tourism destinations. The results offer valuable insights for designing policies and strategies that promote beneficial tourism, both for the local community and the environment, and that preserve the uniqueness of the locality.

 

REFERENCES

Alamineh, G. A., Hussein, J. W., Endaweke, Y., & Taddesse, B. (2023). The local communities' perceptions on the social impact of tourism and its implication for sustainable development in Amhara regional state. Heliyon, 9(6), e17088. https://doi.org/10.1016/j.heliyon.2023.e17088

Alieva, D., & Usmonova, G. (2021). Sustainability perceptions of Community Based tourism by stakeholders in Central Asia. Local Development & Society, 2(2), 244-254. https://doi.org/10.1080/26883597.2021.1953944

Barrientos Farías, W., Reyes, V. M., Puescas Chully, M. A., Sequera Morales, A. G., & Rojas Luján, V. W. (2022). Imaginarios sociales sobre el impacto de la ruta turística binacional Ecuador-Perú. UCV HACER, 11(1). https://doi.org/10.18050/RevUCVHACER.v11n1a9

Calatayud Mendoza, A. P., Canales Gutiérrez, Á., Belizario Quispe, G., Chui Betancur, H. N., & Huaquisto Ramos, E. (2021). Impacto del turismo rural en el ingreso económico y la decisión de emigrar en la Comunidad de Llachón (Puno, Perú). AGER. Revista de Estudios sobre Despoblación y Desarrollo Rural, 31, 43-73. https://recyt.fecyt.es/index.php/AGER/article/view/90542

Cañero Morales, P. M., López Guzmán Guzmán, T., & Orgaz Agüera, F. (2017). Impactos del turismo comunitario en países en vías de desarrollo: El caso de la República Dominicana. TURYDES: Revista sobre Turismo y Desarrollo local sostenible, 10(22). https://dialnet.unirioja.es/servlet/articulo?codigo=7932259

Diedrich, A., & García Buades, E. (2009). Local perceptions of tourism as indicators of destination decline. Tourism Management, 30(4), 512-521. https://doi.org/10.1016/j.tourman.2008.10.009

Dłużewska, A., & Giampiccoli, A. (2021). Enhancing island tourism's local benefits: A proposed community based tourism oriented general model. Sustainable Development, 29(1), 272-283. https://doi.org/10.1002/sd.2141

García Martínez, A. K., Serrano Barquín, R. D. C., Osorio García, M., & López Carré, E. (2015). Percepción de la comunidad en torno al turismo como factor de desarrollo local. Caso San Pedro Tultepec, México. Turismo y Sociedad, 16, 43. https://doi.org/10.18601/01207555.n16.04

Getachew, M. A. (2020). Community based ecotourism potentials for sustainable development in Gorgora, Ethiopia. Journal of Hospitality Management and Tourism, 11(3), 40-51. https://doi.org/10.5897/JHMT2020.0292

Huo, T., Yuan, F., Huo, M., Shao, Y., Li, S., & Li, Z. (2023). Residents' participation in rural tourism and interpersonal trust in tourists: The mediating role of residents' perceptions of tourism impacts. Journal of Hospitality and Tourism Management, 54, 457-471. https://doi.org/10.1016/j.jhtm.2023.02.011

Llerena Cruz, B. L., & Carbajal Choque, N. G. (2021). Análisis de la cadena de valor de turismo rural comunitario en el distrito de Sibayo, Perú (2018-2021). Aportes y Transferencias, 19(2), 9-29. https://nulan.mdp.edu.ar/id/eprint/3668/

Lohr, S. L. (2021). Sampling: Design and Analysis. Chapman and Hall/CRC.

Marchan Solier, C. E., Zorrilla Crespo, V. A., Cárdenas Quispe, M. A., & Pacheco, A. (2021). Contaminación por Residuos Sólidos Urbanos: Caso Comunidad de Occochaca, Huanta, Perú, 2021. Scientific Research Journal CIDI, 1(1). https://doi.org/10.53942/srjcidi.v1i1.39

Moreno Freites, Z., Ziritt Trejo, G., & Silva, H. (2019). Turismo Sostenible: Percepciones, bienestar ciudadano y desarrollo local. Revista Venezolana de Gerencia, 2, 104-130. https://doi.org/10.37960/revista.v24i2.31484

Otero Gómez, M. C., Giraldo Pérez, W., & Torres Duarte, L. K. (2016). Satisfacción con un destino turístico: Una investigación en Villavicencio (Colombia). In Vestigium Ire, 10(2), 97-111. http://revistas.ustatunja.edu.co/index.php/ivestigium/article/view/1276

Pekerşen, Y., & Kaplan, M. (2023). The perceptions of a local community on tourism development: The case of Akyaka as a Cittaslow. Community Development, 54(2), 292-311. https://doi.org/10.1080/15575330.2022.2071956

Ramkissoon, H. (2023). Perceived social impacts of tourism and quality-of-life: A new conceptual model. Journal of Sustainable Tourism, 31(2), 442-459. https://doi.org/10.1080/09669582.2020.1858091

Rasoolimanesh, S. M., Ringle, C. M., Jaafar, M., & Ramayah, T. (2017). Urban vs. rural destinations: Residents' perceptions, community participation and support for tourism development. Tourism Management, 60, 147-158. https://doi.org/10.1016/j.tourman.2016.11.019

Vodeb, K., Fabjan, D., & Krstinić Nižić, M. (2021). Residents' Perceptions of Tourism Impacts and Support for Tourism Development. Tourism and Hospitality Management, 27(1), 143-166. https://doi.org/10.20867/thm.27.1.10

Zielinski, S., & Botero, C. (2011). Percepción de la comunidad como indicador del ciclo de vida de un destino: Hacia el desarrollo de un sistema de alerta temprana para pequeños destinos. Estudios y perspectivas en turismo, 20(6), 1366-1388. https://dialnet.unirioja.es/servlet/articulo?codigo=5294943

 

Conflict of interest

Authors declare that they have no conflicts of interest.

 

Authors' contribution

Mariela Stacy Solano Lavado and Florisa Graciela García Chumioque designed the study, prepared the first version and carried out the final critical review of the document.

Patricia Maribel Yllescas Rodríguez was involved in data collection and analysis, as well as in the critical review of the final document with important contributions to its content.

Mirlandia Odilia Valdés Florat carried out the data analysis and participated in the final critical review with contributions to its scientific writing.

All the authors reviewed the writing of the manuscript and approve the version finally submitted.

 


This work is licensed under a Creative Commons Attribution-NonCommercial 4.0 International License