Cooperativismo y Desarrollo, septiembre-diciembre 2020; 8(3), 388-408

 

Contribuciones a la evaluación del resultado de la gestión gubernamental cubana en el entorno local

 

Contributions to the evaluation of the result of Cuban government management in the local environment

 

Contribuições para a avaliação dos resultados da gestão do governo cubano no ambiente local

 

Roger Alarcón Barrero1, Barbara Susana Sánchez Vignau2, Yudith Salvador Hernández3

1 Universidad de Holguín "Oscar Lucero Moya". Facultad de Ciencias Empresariales y Administración. Holguín, Cuba. ORCID: https://orcid.org/0000-0001-5545-530X. Correo electrónico: ralarconb@gmail.com
2 Escuela Superior de Cuadros del Estado y el Gobierno. La Habana, Cuba. ORCID: https://orcid.org/0000-0003-1492-985X. Correo electrónico: bsusana@esceg.cu
3 Universidad de Holguín "Oscar Lucero Moya". Facultad de Informática y Matemática. Holguín, Cuba. ORCID: https://orcid.org/0000-0002-0766-8711. Correo electrónico: ysalvadorh@uho.edu.cu

 

Recibido: 14 de octubre 2020.
Aprobado: 1ro de diciembre 2020.


RESUMEN

La evaluación del resultado de la gestión pública local y la medición de su efectividad, como criterio de mejora, resulta un tema principal en la literatura especializada contemporánea por su aporte al bienestar social y al desarrollo; sin embargo, el estudio realizado en los últimos 30 años evidencia diversas concepciones y propuestas metodológicas en torno al mismo. El presente trabajo tiene como objetivo: desarrollar un modelo conceptual aproximado a las necesidades de perfeccionamiento de los Órganos Locales del Poder Popular en Cuba, tomando en cuenta consideraciones teóricas y buenas prácticas del entorno nacional e internacional y el empleo de diversos métodos teóricos y empíricos que acompañan el proceso de investigación. Los resultados del estudio reconocen la pertinencia del modelo y sus indicadores para la medición ágil, flexible e integral de la gestión pública local, convirtiéndolos en una herramienta para orientar la toma de decisiones de directivos y funcionarios públicos.

Palabras clave: efectividad; evaluación del resultado; gestión pública local; indicadores


ABSTRACT

The evaluation of the result of local public management and the measurement of its effectiveness, as a criterion for improvement, is a main topic in contemporary specialized literature because of its contribution to social welfare and development; however, the study carried out in the last 30 years shows diverse conceptions and methodological proposals around it. The present work has as an objective: to develop an approximate conceptual model to the improvement needs of the Local Organ of Popular Power in Cuba, taking into account theoretical considerations and good practices from the national and international environment, and the use of diverse theoretical and empirical methods that accompany the research process. The results of the study recognize the relevance of the model and its indicators for the agile, flexible and integral measurement of local public management, turning them into a tool to guide the decision making of directors and public officials.

Keywords: effectiveness; result evaluation; local public management; indicators


RESUMO

A avaliação dos resultados da gestão pública local e medir a sua eficácia como critério de melhoria, é um tema importante na literatura especializada contemporânea pela sua contribuição para o bem-estar e desenvolvimento social; contudo, o estudo realizado nos últimos 30 anos mostra várias concepções e propostas metodológicas à sua volta. O presente trabalho visa desenvolver um modelo conceptual que aborda as necessidades de melhoria dos Órgãos Locais do Poder Popular em Cuba, tendo em conta considerações teóricas e boas práticas do ambiente nacional e internacional e o uso de diversos métodos teóricos e empíricos que acompanham o processo de investigação. Os resultados do estudo reconhecem a relevância do modelo e dos seus indicadores para a medição ágil, flexível e abrangente da gestão pública local, tornando-o uma ferramenta para orientar a tomada de decisões dos gestores e dos funcionários públicos.

Palavras-chave: eficácia; avaliação dos resultados; gestão pública local; indicadores


 

INTRODUCCIÓN

Los cambios globales sucedidos en 1990 y acentuados en la década del 2010 han impactado radicalmente en las estructuras de gobierno, a todos sus niveles, lo que ha traído modificaciones en los procesos de evaluación del desempeño, ajustadas a diferentes contextos, en particular, en las estructuras locales, dada la proximidad con el ciudadano y a consecuencia de los procesos de descentralización y desconcentración. Así, la evaluación se convierte en una herramienta administrativa indispensable para medir el resultado de la gestión realizada, contribuir a mejorar la habilidad del gobierno para desempeñar sus funciones y fortalecer la credibilidad del sector público, específicamente a nivel local.

En la actualidad, gobiernos de diversas naciones atienden con mayor intencionalidad los procesos de evaluación, percibiendo sus beneficios, ya sea por la labor de agencias gubernamentales o auditorías externas. A través de la obtención de información sobre el proceso presupuestario, la planificación y otros elementos, que competen a la gestión pública, facilitan la valoración de los resultados sobre el alcance de los objetivos establecidos, los servicios y productos generados, así como su efecto para la determinación de posibles cambios y/o transformaciones.

Desde los albores del siglo XXI, han variado los enfoques para tratar de cubrir la demanda de servicios básicos, responder a nuevos desafíos representados por la sostenibilidad, interpretar adecuadamente el bien común e integrar en sus procesos a los numerosos intereses en la acción pública. En consecuencia, se dispone de una orientación diversa, representada por una amplia gama de variables, que limita la realización de una evaluación integral del resultado de la gestión gubernamental, considerada por Pollitt y Dan (2011) como dispersa y multitemática, dado que se desarrolla en escenarios determinados y focalizados, en su mayoría, en programas y proyectos con una visión fragmentada de lo obtenido.

El estudio realizado reconoce algunas regiones que definen y promueven iniciativas a instancias locales para la medición de resultados en servicios y programas públicos, mediante indicadores de gestión, aunque solo en pocos casos su cumplimiento es regulado por normas jurídicas, cuestión que resulta obligatoria. Este enfoque es más recurrente en países anglosajones, mientras que en Hispanoamérica se tiende, de forma general, a la utilización del criterio de eficacia y calidad de la gestión, auxiliados de sistemas de información, preferiblemente con indicadores económicos financieros municipales, los que constituyen una limitación en el proceso evaluativo, pues no se diseñan esencialmente para medir el resultado de objetivos y metas preestablecidas con una visión social, enmarcadas básicamente en las relaciones derivadas de los insumos, procesos y productos en el marco de la gestión interna.

Las variables de medición asumidas han constituido una expresión de lo que se pretende para la toma de decisiones en interés de mejorar la gestión, aportar conocimiento y realizar ajustes necesarios. Entre las clasificaciones más aplicadas están:

Entre los obstáculos que limitan la medición de los resultados de la gestión, se reconoce el insuficiente desarrollo de los sistemas de información, permeados aún de datos generales sobre actividades del orden financiero. Acerca del tema, varios organismos e instituciones internacionales (International City/Country Management Association, Instituto para el Desarrollo Social, Instituto Latinoamericano de Planificación Económico y Social, Centro Latinoamericano de Administración para el Desarrollo) exhiben avances metodológicos durante los últimos 10 años, que amplían los datos e información comparativa, facilitando la medición de los indicadores con respecto a procesos que generan resultados e impactos de la política económica y en el desarrollo local, identificación de prioridades, competitividad urbana, la transparencia en los gobiernos locales, la capacidad estatal asociada a la gobernanza.

La transición de un modelo de gestión burocrático-tradicional a otro orientado, a resultados, ha revitalizado la gestión pública insuficiente todavía para asumir las esencias de una evaluación efectiva a tono con las exigencias sociales, donde los cambios positivos en el entorno reflejan bienestar al ciudadano y percepción de valor público, tanto en lo operacional como en lo estratégico. Al mismo tiempo, los clústeres tecnológicos conformados se inclinan a definir la calidad de la gobernabilidad y promueven la aplicación de políticas públicas territoriales a la ampliación de la capacidad de gestión de los gobiernos locales en la perspectiva del desarrollo local (Gilio, 2016).

En esta evolución, cobran fuerza los efectos en el entorno y la efectividad como criterio de cualidad superior en la administración pública, al comparar el resultado con el efecto provocado en la sociedad, aunque con enfoques variados y procedimientos de medición, poco estandarizados. No obstante, su incorporación brinda una evaluación de excelencia por el carácter integral del resultado de la gestión.

A pesar de su reconocimiento teórico, los enfoques de evaluación resultan diversos y, en ocasiones, carentes de integralidad, atendiendo a especificidades temáticas e influencias de escenarios, contextos y áreas. Un grupo importante de prácticas asocian la evaluación al cumplimiento de metas, mientras que otros la vinculan a los servicios públicos como actividad propia del Estado, lo que constituye esencia de la práctica gubernamental e indispensable para la vida social, bajo criterios de eficiencia económica, responsabilidad y transparencia. Sin embargo, el resultado para ser evaluado con integralidad requiere la incorporación de otras variables como la identificación de las necesidades y beneficios generados para apreciar el verdadero efecto de la gestión por los cambios producidos.

Sobre el tema, a criterio de Armijo (2011), ha predominado la medición de los objetivos de las políticas públicas, enfocados en la solución de problemas en diversas áreas. En esta línea de acción, existe una corriente dirigida al conocimiento de la realidad social-territorial para lo cual se tiende a mejorar los procesos internos, asociados al establecimiento de canales de comunicación con los ciudadanos y de cara al desarrollo local. Derivado de ello, a los indicadores de gestión se agregan otros de valor social que proporcionan un sistema de seguimiento a la calidad de vida de la población y monitoreo de la eficiencia, eficacia y los efectos de las políticas públicas como lo confirma Hernández (2017). Estos términos han estado presentes como pilares básicos de la administración pública.

Lo expuesto resulta explícito y abarcador respecto a la finalidad de la evaluación del resultado, aunque resulta débil su orientación hacia la cualidad del efecto y el cambio producido por el conocimiento de las necesidades, convertido en premisa condicionante para estimación del valor público que aporta a la calidad de la gobernabilidad local y, estimula el desarrollo (Ardila Delgado & García Solano, 2017).

Similar diversidad se observa en las propuestas metodológicas, focalizadas en instrumentos caracterizados por insuficiente orientación al medir cambios, respecto al estado inicial de las cosas y la no realización de acciones de mejora, escasa vinculación de la gestión de las políticas públicas a las necesidades reales de la sociedad, dimensiones que la definen y el criterio de efectividad, como perspectiva que potencia la integralidad y propicia la mejora. Estos aspectos denotan escaso reconocimiento de las relaciones de dependencia entre las variables del entorno interno y el externo.

Autores como Guzmán (2007), reconocen el conocimiento de las necesidades de la población y dan seguimiento a las acciones consecutivas para lograr la satisfacción, sin embargo, es insuficiente el vínculo de los objetivos propuestos en la planificación, con la gestión de las políticas y la proyección del desarrollo. Según Armijo (2011), tienen múltiples variables los diseños que favorecen una evaluación más cercana a la satisfacción de la sociedad, aunque más inclinadas al impacto, sin evaluar el resultado que lo origina y la capacidad de respuesta del gobierno para prestar y transformar los servicios.

Aspecto redundante en enfoques, criterios de evaluación y propuestas metodológicas resulta el término programa, como eje central sobre el que se establecen las entradas de los recursos, las salidas producidas con el trabajo realizado (productos y servicios), las relaciones entre recursos, resultados y objetivos, así como un medio para materializar la relación Estado-sociedad.

En el escenario cubano, caracterizado por la elevación de la eficacia de programas nacionales en la solución de necesidades básicas de la población y la introducción de herramientas reformadoras en la gestión, ante el reto de conciliar los escasos recursos disponibles con los intereses de la comunidad (Capote Pérez et al., 2018), se incrementan las condiciones para una gestión más efectiva y su evaluación, con particularidad en los municipios, a partir del programa de perfeccionamiento de los Órganos Locales Poder Popular (OLPP) y las insuficiencias reconocidas por diferentes investigadores sobre el proceso evaluativo actual, resumidas en:

Los síntomas se reflejan en las evaluaciones anuales de estos órganos, concentrados en datos cuantitativos sobre la solución diaria de problemas cotidianos, sin considerar el aporte cualitativo de la gestión, relacionados básicamente con los servicios e influidos por la carencia de estrategias de desarrollo local, predominio de mediciones del resultado económico financiero, que provoca insuficiente apreciación de los beneficios sociales alcanzados y carencia de datos en los flujos informativos de los sistemas de trabajo e indicadores establecidos que no permiten conocer la efectividad de la gestión y el análisis de los cambios producidos.

Los aspectos abordados muestran un escaso desarrollo e integralidad de la evaluación del resultado, indican la necesidad de continuar atendiendo su estudio por la importancia que reviste para orientar la gestión pública local , asegurar el cumplimiento de sus misiones en torno al buen gobierno, cumplir los objetivos de desarrollo sostenible de la Agenda 2030 y conducir las actuaciones de funcionarios para lograr finalmente instituciones públicas altamente responsables y sensibles, siendo el reto primordial de la administración pública. La experiencia en la evaluación del resultado, en la gestión pública local, permite observar que el sistema de medición se construye, integrando las variables más importantes que lo comprometen en la interacción entre dimensiones definidas y la efectividad. En consecuencia, el objetivo de este trabajo es desarrollar un modelo conceptual, aproximado a las necesidades de perfeccionamiento de los Órganos Locales de Poder Popular en Cuba, tomando en cuenta consideraciones teóricas y buenas prácticas del entorno nacional e internacional y el empleo de diversos métodos teóricos y empíricos que acompañan el proceso de investigación.

 

MATERIALES Y MÉTODOS

La metodología empleada consideró el uso de métodos teóricos: el histórico-lógico y el análisis-síntesis para la determinación de antecedentes teóricos y empíricos de procesos evaluativos, su desarrollo histórico y tendencias mediante la revisión bibliográfica general y discriminativa con análisis documental, basado en la comparación diacrónica de experiencias y buenas prácticas; estudios presentados sobre las dimensiones básicas que caracterizan una gestión pública efectiva, así como los conceptos de evaluación del resultado y efectividad de la gestión pública local que potencian los argumentos teóricos que sostienen la nueva propuesta. Además, el método de inducción-deducción para identificar insuficiencias manifiestas en el estado del arte y variables claves asociadas a los aspectos positivos de referentes evaluativos consultados sobre el desempeño gubernamental.

Mediante el método sistémico-estructural, se estudiaron las interrelaciones en los OLPP en Cuba, lo que permitió definir la relación por coincidencia o similitud, derivar una base para la conformación de indicadores y, con apoyo de una matriz de impacto, determinar el nivel de influencia y cálculo del grado de alineación que poseen; con empleo de la modelación, se analizó la propuesta conceptual del modelo con enfoque estratégico, sistémico y participativo.

El empleo de los métodos empíricos, -encuestas y entrevistas a directivos, funcionarios y expertos, de conjunto con la observación en el trabajo de campo, coeficientes de concordancia y la observación directa-, apoyaron la recolección de información que aseguró la fundamentación teórica y la validación del modelo, de conjunto con los métodos estadísticos, matrices aplicadas y análisis factorial mediante el programa estadístico SPSS (Statistical Package for the Social Sciences), versión 20, donde se agruparon los datos con el software UCINET.6 y graficándose con el software Mind Manager X5.

En el estudio, se tomaron en cuenta criterios de expertos, académicos nacionales e internacionales, institucionales, así como de directivos, funcionarios y ciudadanía. En la identificación de buenas prácticas, se realizó una valoración, en forma binaria, de los rasgos característicos presentes en el muestreo de evaluaciones realizadas, y resultaron seleccionadas las de mayor puntaje.

 

RESULTADOS Y DISCUSIÓN

Del estudio de 29 publicaciones en bases de datos académicas1, cuyo núcleo temático respondía a los resultados de la gestión y procesos de evaluación, se identificaron conceptos, enfoques, criterios y referentes metodológicos sujetos, en su mayoría, a programas y proyectos con una visión segmentada respecto a resultado de la gestión y se pudieron visualizar dentro del espectro evaluativo rasgos característicos y perspectivas evaluativas.

De los rasgos característicos, fue posible determinar las "buenas prácticas", tomando en cuenta los atributos definidos por la Organización de las Naciones Unidas para la Educación, la Ciencia y la Cultura (2018) en el marco del programa MOST (Management of Social Transformations), relacionados con el carácter innovador (1): desarrollan soluciones y acciones creativas; el efecto tangible (2): demuestran un impacto positivo sobre la mejora; la sostenibilidad (3): mantener las exigencias socioeconómicas y producir efectos duraderos; y replicables (4): posibilidad de aplicación en otros lugares (4). Otro atributo considerado fue la transparencia (5): la información accesible sobre la gestión pública. Los resultados obtenidos, luego del análisis binario, se muestran en la tabla 1.

Tabla 1 - Valoración de los atributos en los rasgos característicos

Rasgos característicos

Valoración atributos

Total

1

2

3

4

5

Gestión de políticas públicas sobre las necesidades sociales

1

1

1

1

1

5

Valoración de programas y proyectos centrados en cambios y el desarrollo socioeconómico de la sociedad con una visión sistémica

1

1

1

1

1

5

Cumplimiento de objetivos y metas con criterios de eficiencia, eficacia y efectividad

1

1

1

1

1

5

Consultas al entorno interno y externo

1

1

1

1

1

5

Empleo de indicadores de resultados con información cuantitativa y cualitativa en dimensiones definidas

1

1

1

1

1

5

Comparación de resultados intermedios y finales con datos cuantitativos a partir de una situación inicial

0

1

0

1

1

3

Diagnóstico de problemas públicos

0

0

0

1

1

2

Conocimiento de beneficiarios y efectos a mediano y largo plazo

0

1

1

1

1

4

Generación y/o cumplimiento de regulaciones y normativas

1

1

1

0

0

3

Identificación de áreas que requieren efectos inmediatos y acciones de mejora

1

1

0

1

1

4

Fuente: Elaboración propia

El análisis realizado determinó con mayor puntaje: la gestión de políticas públicas sobre las necesidades sociales, aspecto que orienta la acción gubernamental al tomar en cuenta las necesidades y problemas públicos, a la vez que resulta una práctica efectiva, sostenible y replicable que, de cumplirse con transparencia, aporta a los niveles de efectividad de la gestión, la valoración de programas y proyectos centrados en cambios y el desarrollo socioeconómico de la sociedad con visión sistémica y de forma creativa y el establecimiento de objetivos y metas a cumplir, siguiendo criterios de eficiencia y eficacia. Otras buenas prácticas, que complementan las anteriores, están referidas a la consulta, a los entornos internos y externos que permiten conocer la percepción sobre lo logrado, empleando diversos instrumentos que aporten la información y datos necesarios para la medición mediante indicadores que facilitan la evaluación cuantitativa y cualitativa de los resultados alcanzados.

El resto de los rasgos no alcanzaron las puntuaciones requeridas para ser considerados como buenas prácticas, respecto a la evaluación de los resultados de la gestión. La comparación de resultados intermedios y finales, con datos cuantitativos, a partir de una situación inicial, requiere de acciones creativas para aislar los efectos en distintos plazos y determinar el resultado e impacto de programas individuales en áreas específicas, incidiendo en la sostenibilidad por falta de integralidad de la gestión, información sobre las necesidades reales de la población y vínculo de las políticas asociadas. Lo expuesto establece vínculos con el diagnóstico de problemas públicos, cuya realización demanda amplia participación de factores sociales y la correspondencia entre la proyección gubernamental, los efectos tangibles y las exigencias.

De otra parte, el conocimiento de beneficiarios y efectos a mediano y largo plazo es una condición indispensable para valorar el resultado, pero carece de sostenibilidad por falta de seguimiento continuo, con sistemas de información sólidos que los validen, en particular, sobre aquellas áreas que requieren efectos inmediatos y acciones sistemáticas de mejora; ambos rasgos se presentan en programas carentes de integralidad de la gestión. También la generación y/o cumplimiento de regulaciones y normativas muestran aristas organizativo-funcionales, condicionadas por factores temporales y la influencia de grupos de interés, que pudieran comprometer la transparencia de la gestión, además de resultar específicas al contexto de aplicación y generalmente propias de cada lugar.

Para determinar dimensiones de una gestión pública efectiva y los rasgos que la distinguen, se realizó estudio de prácticas gubernamentales en los últimos 30 años sobre las concepciones del buen gobierno y el desempeño público territorial, revisión de documentos y publicaciones de varios organismos e instituciones internacionales (Instituto Latinoamericano de Planificación Económico y Social, Centro Latinoamericano de Administración para el Desarrollo, Comisión Económica para América Latina y el Caribe, Programa de Naciones Unidas para el Desarrollo); encuesta a 26 funcionarios y especialistas con distintas funciones y responsabilidades. Con el análisis y síntesis de 23 dimensiones agrupadas con el software UCINET.6, por el nivel de coincidencia y variables por criterios de similitud -graficadas con el software Mind Manager X5- se establecieron las correlaciones y redujeron los datos con el análisis factorial, resultando cuatro dimensiones (estratégica, económica, operativa y social) en el componente principal. Los encuestados mostraron coincidencia por el máximo valor otorgado en la escala de valoración y los entrevistados consideraron agregar la dimensión resultado.

A partir de estos criterios, se aplicó el método de expertos que evaluaron las cuatro dimensiones propuestas y ratificaron el resultado inicial, posteriormente determinaron los pesos relativos de cada una.

Con el objetivo de proyectar una visión integral acerca del resultado de la gestión y su evaluación, se seleccionaron 13 variables claves2 y se confeccionó una matriz cuadrada binaria, con empleo del programa SPSS y el criterio de similitud estadística de Jaccard y se obtuvo una red de relaciones, que indica que las mayores contribuciones están en: efectos inmediatos percibidos, correspondencia con los objetivos (estratégicos y operativos), cumplimiento de las metas establecidas en períodos, beneficios recibidos como valor público, población beneficiaria con las acciones realizadas, identificación de necesidades y efectividad de la gestión. Las restantes contribuciones se asocian con la información, las políticas, orientación al desarrollo socioeconómico, la gestión, los recursos y los cambios producidos.

Dada la relación lógica establecida entre las variables determinadas, se agruparon tomando en cuenta tres perspectivas, referidas con: correspondencia con los objetivos, los efectos inmediatos, efectividad de la gestión. En el primer caso, se determina si el cumplimiento de las metas trazadas se corresponde con objetivos estratégicos y prioridades operativas, reflejadas en acciones concretas que responden a las necesidades y el desarrollo. Con la segunda, se definen los cambios producidos por la gestión integral y la tercera contiene las dos primeras con un trazado de variables que aseguran las posibilidades de éxito del resultado, pudiéndose proyectar políticas que responden a necesidades identificadas y aportan a los objetivos y metas. La efectividad de la gestión pública se constituye en la perspectiva más integral para evaluar su resultado.

Con el resultado de la apreciación de los aportes epistemológicos de estudios e investigaciones realizadas y el análisis de buenas prácticas, con independencia de escenarios y contextos, se logró una primera aproximación al modelo conceptual orientado a la evaluación del resultado de la gestión pública local, consecuente con las corrientes de pensamiento más actuales y coherentes con las demandas del proceso de perfeccionamiento de los Órganos Locales del Poder Popular. La propuesta de modelo ha de distinguirse por:

La concepción gráfica del modelo (Fig. 1) concibe a los Órganos Municipales del Poder Popular (OMPP) con sus niveles principales de decisión (Asamblea y Administración) como escenario y límite donde se desarrolla la evaluación del resultado en un ciclo movido por la acción de un grupo de evaluación; comprende la definición de sistemas que favorecen la medición, valoración y mejora para desarrollar la evaluación del resultado por la acción de un grupo de evaluación de los resultados, a partir de la interacción de los elementos de entrada, los que desencadenan la dinámica interna del modelo y conducen a la evaluación final, encargada de definir el nivel de efectividad alcanzado como cualidad principal de la salida del modelo. A continuación, se ofrece un análisis de los diferentes componentes del modelo, organizado en sus tres partes principales.

Fig. 1 - Concepción gráfica del modelo para la evaluación del resultado de la gestión pública local

Fuente: Elaboración propia

Parte 1. Entradas del modelo

Considera la interconexión de cinco elementos básicos que generan la dinámica de administración pública. En primer lugar, destacan las políticas públicas aprobadas e implementadas como respuesta de la acción gubernamental (nacional y territorial) a demandas y problemas ciudadanos y de la nación. En la concepción del modelo, resultan importantes los nexos entre políticas y efectividad de la gestión realizada, que derivará en el resultado evaluado y la atención a problemas públicos.

En segundo lugar, se sitúan los programas y proyectos como forma de materialización de las políticas aprobadas e implementadas según la capacidad de respuesta que se disponga para la creación de valor público. En tercer lugar, se definen objetivos y metas como resultado del proceso de planificación para distintos períodos y niveles de dirección que aseguran la ejecución de los programas y proyectos concebidos, donde se incluyen prioridades específicas derivadas de demandas locales. En cuarto lugar, se consideran las partes interesadas en el proceso de evaluación del resultado, las cuales influyen en la manera de pensar y actuar de directivos y funcionarios, a partir del carácter autónomo del territorio y, en quinto lugar, reconoce el marco regulatorio asociado al proceso evaluativo, expresado en normas y procedimientos que constituyen basamento legal para la valoración de la gestión que se realiza en estos órganos.

Parte 2. Interacción de componentes para la evaluación del resultado

A partir de las entradas del modelo, se iniciará el proceso de evaluación, basado en la interacción de los principales componentes. Las dimensiones que caracterizan una gestión efectiva (estratégica: alcance de objetivos y metas estratégicas sobre la base del conocimiento de las necesidades de la sociedad para la toma de decisiones y asumir procesos de transformación económico-social, a distintos plazos de tiempo; económica: utilización de los recursos con eficiencia en función de resultados, satisfacción de las necesidades y desarrollo económico social; operativa: sistemas de trabajo en la gestión de procesos organizacionales para alcanzar objetivos y metas; y social: refleja los efectos o cambios producidos con la entrega de productos y (o) servicios ofertados. Las variables que definen conceptualmente la efectividad (conocimiento real que se tiene de las necesidades e insatisfacciones de la sociedad, capacidad de respuesta con recursos materiales y financieros disponibles, objetivos que se fijan en la planificación y cambios producidos que impactan en la colectividad). Ambas requieren una alineación para revelar el grado de interacción en un mismo escenario y las variables estructuran los indicadores.

En esta parte del modelo, se conforma el sistema de indicadores (Tabla 2) que asegura el proceso evaluativo, centrado en la eficiencia, eficacia y los cambios producidos por el conjunto de programas y proyectos, aportando información cuantitativa y cualitativa del resultado obtenido en cada dimensión que representan subíndices. En el estudio realizado, se evaluaron y propusieron un conjunto de indicadores, que luego de un proceso de validación por expertos, directivos y funcionarios, demostraron poseer las cualidades, fácil comprensión, fiabilidad en el cálculo, pertinencia y bajo costo, cumplir con los requisitos de comparabilidad, independencia y accesibilidad, en unión de otros criterios emitidos, concordantes con la categoría "muy relevante" como valor máximo en la escala de Likert utilizada.

Tabla 2 - Indicadores derivados de la alineación

Id

Indicadores

Subíndices

1

Previsión de situaciones sociales complejas

Estratégico
(Sbest)

2

Empleo eficiente de acuerdos y disposiciones normativas territoriales

3

Proyección estratégica de planes, programas y proyectos locales (PPP)

4

Efectos secundarios de planes, programas, proyectos locales

5

Relación de respuestas o soluciones con el total de planteamientos y necesidades

Económico
(Sbeco)

6

Porciento de recursos materiales y financieros que dan respuesta o solución a planteamientos y necesidades priorizadas que lo requieren

7

Porciento de objetivos en la planificación operacional sobre planes, programas y proyectos que dan respuesta o soluciones a planteamientos y necesidades a distintos plazos en acciones priorizadas

8

Balance ingresos y gastos

9

Cantidad de información sobre temáticas, sectores y segmentos poblacionales

Operativo
(Sbope)

10

Porciento de empleo de estrategias en la gestión de soluciones o respuestas a planteamientos y necesidades en un año

11

Cumplimiento de lo planificado para el avance físico y financiero de planes, programas, proyectos y metas priorizadas en planes operacionales

12

Beneficiarios con la puesta en práctica de lo planificado

13

Participación ciudadana en propuestas de soluciones y respuestas a planteamientos y necesidades de la población

Social
(Sbsoc)

14

Porciento de empleo de las potencialidades locales en la solución o respuesta a planteamientos y necesidades de la población

15

Aporte de las potencialidades locales a los planes, programas y proyectos

16

Cambios producidos por la gestión pública en el gobierno local

Fuente: Elaboración propia

El sistema de información es parte de todo el ciclo evaluativo, recopilando, procesando datos y almacenando información para la valoración del efecto en el entorno interno, por medio de las acciones proyectadas a partir del estado real de los OMPP y en el entorno externo, por el efecto que provoca en la sociedad las acciones realizadas. Ambos flujos son imprescindibles para la orientación de la gestión y la retroalimentación que le da seguimiento a la toma de decisiones efectivas con vistas a la mejora del resultado.

Desde el punto de vista práctico, en el estudio se identificaron áreas críticas que aportan información relevante (conocimiento de planteamientos y necesidades de la población; respuestas y soluciones dadas), pero mostraron carencia de datos requeridos por los indicadores, trayendo consigo la necesidad de adecuación e incorporación de otros datos al flujo de información.

Los datos adecuados que aportan información tienen que ver con:

Los nuevos datos incorporados se asocian con: cantidad de hechos o situaciones complejas por diversas causas que ocurren en planteamientos no priorizados; total de ámbitos (económico, productivo, sociocultural, natural e institucional) que han recibido beneficios por el impacto o resultados de uno o varios PPP; temáticas más o menos tratadas en el registro, en los planteamientos; sectores de los que no se registra información en el conjunto de planteamientos recepcionados por las estructuras organizativas funcionales; segmentos poblacionales de los que no se registra información en los planteamientos; porciento que se establece en los planes operacionales para el avance físico y financiero de los PPP y metas priorizadas; y cambios producidos por la gestión pública local en los entornos (interno y externo).

Los directivos y funcionarios consultados en tres provincias y municipios, como parte del estudio realizado, apreciaron la pertinencia, factibilidad y posibilidades del sistema de información por ajustarse a las demandas informativas actuales y las necesidades informativas incorporadas, que no requieren costos adicionales a los actuales.

Parte 3. Cálculo de indicadores y medición de la efectividad alcanzada

El cálculo de los indicadores (Id) tiene su origen en los fundamentos teóricos que sostienen su propuesta y la información necesaria para la evaluación integral del resultado, con un comportamiento porcentual cuantitativo del valor en las expresiones modeladas y cualitativo por las categorías concebidas en los intervalos del rango sugerido por los expertos (Tabla 3).

La capacidad de previsión de situaciones sociales complejas (Id1), precisa del conocimiento de situaciones producidas (Hc) y su relación con planteamientos no priorizados (Pnp).

El cumplimiento eficiente de acuerdos y disposiciones normativas territoriales (Id2), establece el grado de eficiencia de los niveles directivos en la relación cantidad de decisiones tomadas (Despi), respecto a la cantidad de problemas identificados en los planteamientos y necesidades (Pipn). Un mayor número de decisiones sobre un mismo problema genera consumo de tiempo, eventos de dirección y gastos de recursos, lo cual revela el porciento de eficiencia de la acción gubernamental hasta su solución.

La proyección estratégica de planes, programas y proyectos locales (Id3), revisa entre la cantidad existente (PPPt), los que se orientan a necesidades de desarrollo y/o solución de planteamientos de la colectividad (PPPdp). En las proyecciones estratégicas a distintos plazos, se refleja la atención a los asuntos de más alta incidencia en la vida de la población y el efecto en la satisfacción de necesidades, prioridades derivadas de la situación económica y social del territorio.

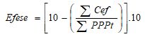
Los efectos secundarios de planes, programas, proyectos locales (Id4), determinan la medida en que el total de planes, programas y proyectos locales (PPPt) logran efectos en otros ámbitos (Cef) diferentes al objeto de actuación, dentro del conjunto definido en el territorio.

La relación de respuestas o soluciones con el total de planteamientos y necesidades (Id5), mide correspondencia de las respuestas y/o soluciones (Crs) con la cantidad de planteamientos y necesidades conocidas (Cpn).

El porciento de recursos materiales y financieros (Id6), que dan respuesta o solución a planteamientos y necesidades priorizadas (Rspn), es determinado por el empleo de recursos materiales por plan de la economía (Rmeco), los recursos financieros por presupuesto (Rfpre) y los que se incluyen por la contribución territorial (Rftri).

El porciento de objetivos en la planificación operacional sobre planes, programas y proyectos que dan respuesta o soluciones a planteamientos y necesidades a distintos plazos en acciones priorizadas (Id7), revela en qué medida la planificación operacional (Obpope) muestra el peso de las decisiones en la ejecución de proyecciones estratégicas (Obrspn).

El balance ingresos y gastos (Id8) compara los ingresos generados por planes, programas y proyectos locales (IgPl, IgPr, IgPy) respecto a los gastos que ocasionan su ejecución (GtPl, GtPr, GtPy).

La cantidad de información sobre temáticas, sectores y segmentos poblacionales (Id9) muestra la información en las estructuras funcionales dentro del conjunto de planteamientos y necesidades de la población sobre temáticas: registradas (Tereg) y definidas (Tedef); sectores: registrados (Sereg) y definidos (Sedef); y segmentos: registrados (Sgreg) y definidos (Sgdef).

El porciento de empleo de estrategias en la gestión de soluciones o respuestas a planteamientos y necesidades en un año (Id10), define y estimula estrategias organizativas efectivas (Estoe) en la gestión administrativa dentro del conjunto de las aplicadas (Estoa). El objetivo es definir y estimular la aplicación de estrategias con mejores de resultados dentro del conjunto conocido o experimentado en períodos de evaluación como: seguimiento a entidades responsabilizadas, alternativas a planteamientos sin respaldo de recursos, solución combinada de planteamientos acumulados, medición de aportes de las entidades, descentralización de estructuras.

El cumplimiento de lo planificado para el avance físico y financiero de planes, programas, proyectos y metas priorizadas en planes operacionales (Id11), establece una relación entre lo ejecutado (Peaff) y lo planificado (Ppaff).

Los beneficiarios, con la puesta en práctica de lo planificado (Id12), muestran la cantidad que se obtiene por cada plan (Pl), programa (Pg) y proyecto (Py), respecto al total de población a considerar.

La participación ciudadana en propuestas de soluciones y respuestas a planteamientos y necesidades de la población (Id13) muestra en qué porciento se involucran los ciudadanos en la toma de decisiones y el fortalecimiento de la responsabilidad social.

El porciento de empleo de las potencialidades locales en la solución o respuesta a planteamientos y necesidades de la población (Id14) identifica el grado de empleo del potencial productivo y servicios identificados.

El aporte de las potencialidades locales a los planes, programas y proyectos (PPP) (Id15) conoce qué aportan a la efectividad de la acción gubernamental en su conjunto. El objetivo es conocer y estimular el aporte de las potencialidades locales a las actividades productivas y de servicios.

Los cambios producidos por la gestión pública local (Id16) son evaluados por la población y los servidores públicos a través de los efectos percibidos con la transformación socioeconómica y productiva, considerados de excelente (E), bueno (B), regular (R), no existen (NE) y malo (M), entre un número de encuestados (N). Se agrega valor público a partir de las percepciones individuales y colectivas interpretadas en términos de satisfacción, por lo que se requiere determinar los cambios que influyen en esa percepción para orientar los esfuerzos y objetivos de la acción gubernamental.

Tabla 3 - Evaluación cuantitativa y cualitativa según la posición en los intervalos

Intervalos (%)

Categorías de la evaluación cualitativa

80 ≤ Id ≤ 100

Rango
de
evaluación

Alto

60 ≤ Id < 80

Aceptable

40 ≤ Id < 60

Regular

Id < 40

Bajo

Fuente: Elaboración propia

Derivado del cálculo de los indicadores (Id), se estructuran subíndices (SbDi), compuestos por el peso de importancia (coeficiente P) que cada indicador adopta del concedido por los expertos y el valor resultante de su cálculo (Expresión 1). Del mismo modo, los valores numéricos de los subíndices y el peso de importancia de cada uno (coeficiente KSbDi: Sbest= 0.34, Sbeco=0.32, Sbope=0.17, Sbsoc=0.16), otorgado por los expertos a estos, por el coeficiente de concordancia de Kendall, integraron los componentes para la medición de la efectividad mediante, un índice sintético (ISE), como se presenta en la expresión 2, el que, sometido a consideración de especialistas y funcionarios, alcanzó una ponderación favorable en los criterios de utilidad (por encima del 98% de los encuestados).

(1) donde,

Pj: peso de importancia de cada indicador j en la dimensión i.

Id: valor de los indicadores j en la dimensión i.

(2) donde,

KSbDi: coeficiente de peso de cada subíndice (Kest, Keco, Kope, Ksoc).

SbDi: valor del subíndice (Sbest, Sbeco, Sbope, Sbsoc).

Tanto para los subíndices como para el ISE, el rango de medición se conservó para mantener homogeneidad y, para los intervalos, se propuso un estrechamiento ascendente (sugerido por los autores), con el interés de convertirlos en metas retadoras y compromiso (Tabla 4). El valor de referencia, la media de los resultados obtenidos por años debido a la carencia de registros anteriores y una frecuencia de actualización semestral-anual coincide, con el ciclo estadístico establecido.

Tabla 4 - Evaluación cuantitativa y cualitativa de los SbDi e ISE

Intervalos (%)

Categorías de evaluación cualitativa

90 ≤ SbDi ≤ 100

Rango
de
evaluación

Alto

70 ≤ SbDi < 90

Aceptable

40 ≤ SbDi < 70

Regular

SbDi < 40

Bajo

Fuente: Elaboración propia

La obtención de información cuantitativa y cualitativa, a partir de la medición de los indicadores, aporta elementos para la toma de decisiones en función de perfeccionar la gestión pública local. Frente a enfoques y propuestas anteriores, el estudio reconoce el valor de la articulación de políticas que generen innovación, cambio y transformación social y de un índice sintético de efectividad, orientado a promover una cultura organizacional para la mejora del desempeño de la gestión pública, con líneas de acción que permitan una evaluación integral. De esta manera, es posible conocer, explicar y valorar, de forma más objetiva, los resultados derivados de la actuación de los gobiernos locales en la atención al bienestar social y el desarrollo socioeconómico en un escenario de perfeccionamiento de los Órganos Locales del Poder Popular.

La integralidad en los elementos esenciales, que propone el modelo, proporciona un modo de medición ágil, flexible y abarcador de la gestión, que lo convierte en una herramienta para directivos y funcionarios públicos en la toma de decisiones, orientadas a la mejora de su actuación en el entorno local.

 

REFERENCIAS BIBLIOGRÁFICAS

Ardila Delgado, A., & García Solano, D. J. (2017). Construcción de un índice sintético de desempeño institucional municipal en Colombia. Revista Del CLAD Reforma y Democracia, (67), 125-162. https://biblat.unam.mx/es/revista/revista-del-clad-reforma-y-democracia/articulo/construccion-de-un-indice-sintetico-de-desempeno-institucional-municipal-en-colombia

Arias Gilart, M., Torres Páez, C. C., & González Stable, A. (2019). Formación de capacidades técnicas en actores locales como contribución a la gestión pública municipal. EduSol, 19(67), 64-79. http://edusol.cug.co.cu/index.php/EduSol/article/view/1120

Armijo, M. (2011). Planificación estratégica e indicadores de desempeño en el sector público. Instituto Latinoamericano y del Caribe de Planificación Económica y Social (ILPES). https://repositorio.cepal.org//handle/11362/5509

Bello Hernández, M. Á., Rodríguez Morffi, A., Martínez Llebrez, V. R., & Pérez García, W. (2013). Modelo de gestión integrada de la calidad y el medio ambiente aplicable a los órganos cubanos de gobierno local. Integrated management model of the quality and environmental applicable to the Cuban local government. Avanzada Científica, 16(2), 50-66. http://avanzada.idict.cu/index.php/avanzada/article/view/422

Calves Hernández, S., & Machín Hernández, M. M. (2016). Contribuciones al conocimiento de la Administración Pública. Funciones de la evaluación en la gestión pública, consideraciones teórico metodológicas. Félix Varela.

Calves Hernández, S., & Pérez Othón, J. D. (2016). Problemas de la gestión en la Administración Pública. Félix Varela.

Capote Pérez, R., Torres Páez, C. C., & del Castillo Sánchez, L. (2018). Retos de la Administración Pública para la gestión del proceso de financiamiento del desarrollo local. Cooperativismo y Desarrollo, 6(2), 179-197. http://coodes.upr.edu.cu/index.php/coodes/article/view/206

Gilio, A. (2016). Desarrollo de capacidades estatales para gobiernos locales: Dimensiones e indicadores para su diagnóstico. Revista Del CLAD Reforma y Democracia, (66), 228-258. https://biblat.unam.mx/es/revista/revista-del-clad-reforma-y-democracia/articulo/desarrollo-de-capacidades-estatales-para-gobiernos-locales-dimensiones-e-indicadores-para-su-diagnostico

Gutiérrez Castillo, O. (2016). La Administración Pública cubana en el proceso actual de transformaciones. Problemas de la gestión en la Administración Pública. Félix Varela.

Guzmán, M. (2007). Evaluación de programas. Notas técnicas. Instituto Latinoamericano y del Caribe de Planificación Económica y Social (ILPES). https://repositorio.cepal.org//handle/11362/7321

Hernández, D. (2017). El modelo de la cadena de valor público I: La producción pública. Arxé. Política y Gobierno.

Pollitt, C., & Dan, S. (2011). The Impacts Of The New Public Management In Europe: A Metaanalysis (COCOPS Working Paper No. 3; COCOPS Working Paper No. 3). COordinating for COhesion in the Public Sector of the Future. https://repub.eur.nl/pub/40668

Salgado García, L., Perón Delgado, E., & Aguilera Molina, J. L. (2018). Las desigualdades intermunicipales de la calidad de vida y su inserción en la planificación. En Desigualdad regional, pobreza y migración (pp. 198-222). Universidad Nacional Autónoma de México y Asociación Mexicana de Ciencias para el Desarrollo Regional A.C, Coeditores. http://ru.iiec.unam.mx/3874/

Torres Páez, C. C., Gómez Ceballos, G., González Pérez, M., Ares Fuego, E., Cardoso Carreño, R., & Flores Lóriga, J. (2018). Modelo para la gestión de políticas territoriales de desarrollo local a escala municipal en Cuba. Anales de la Academia de Ciencias de Cuba, 8(1). http://www.revistaccuba.cu/index.php/revacc/article/view/405

UNESCO. (2018). Programa Gestión de las Transformaciones Sociales (MOST). Organización de las Naciones Unidas para la Educación, la Ciencia y la Cultura. https://es.unesco.org/themes/transformaciones-sociales/most

 

1 Se realizó la búsqueda en la red social académica ResearchGate, Google Académico, SciELO, Redalyc, Doaj y ScienceDirect.

2 Seleccionadas de 20 identificadas, por similitud de los fines que persiguen, sinónimos, coincidencia de criterios y frecuencia de repetición a través de una matriz binaria (fuente-variables).

 

Conflicto de intereses:

Los autores declaran no tener conflictos de intereses.

 

Contribución de los autores:

Los autores han participado en la redacción del trabajo y análisis de los documentos.

 


Esta obra está bajo una licencia Creative Commons Reconocimiento-NoComercial 4.0 Internacional
Copyright (c) Roger Alarcón Barrero, Barbara Susana Sánchez Vignau, Yudith Salvador Hernández