Cooperativismo y Desarrollo, September-December 2020; 8(3), 508-525
Translated from the original in Spanish

 

Impact of the Mariel Special Development Zone on the Construction and Assembly Enterprise

 

Impacto de la Zona Especial de Desarrollo Mariel en la Empresa de Construcción y Montaje

 

Impacto da Zona Especial de Desenvolvimento Mariel na Empresa de Construção e Montagem

 

Maidelin Quesada Sotolongo1, Maricela González Pérez2, Humberto García Valdés3

1 Universidad de Artemisa. Artemisa, Cuba. ORCID: https://orcid.org/0000-0001-5840-5236. Email: maidelin@uart.edu.cu
2 Universidad de Pinar del Río "Hermanos Saíz Montes de Oca". Pinar el Río, Cuba. ORCID: https://orcid.org/0000-0003-2617-5370. Email: maricela@upr.edu.cu
3 Universidad de Artemisa. Artemisa, Cuba. ORCID: https://orcid.org/0000-0003-2881-2871. Email: humbertogv@uart.edu.cu

 

Received: April 24th, 2020.
Accepted: October 1st, 2020.


ABSTRACT

The special economic development zones not only provide a high economic contribution to the country, but also to the territory where they are located, by generating new jobs and markets for different enterprises, allowing them to increase and diversify their production. Cuba created its first special development zone in 2013, located in the municipality of Mariel, province of Artemisa. The contribution to the development of local enterprises that produce goods or services for it has not yet been quantified, since there are no precedents in this type of evaluation in the country. For this reason, this article aims at: assessing the impact of the economic zone, in the Mariel Construction and Assembly Enterprise, through the definition of determined dimensions and indicators, from international experiences, with an adaptation for Cuba. The evaluation contains quantifiable parameters, which indicate the impact in aspects such as: employment, wealth generation and productivity. The information processing showed that, in general, the impact of the area has been very favorable; among other results, it is highlighted that more than five hundred annual average jobs have been generated, as well as a sustained increase of productivity and average salary between 2016 and 2018.

Keywords: economic impact; social impact; special development zone; socio-economic impact in special development zones


RESUMEN

Las zonas económicas especiales de desarrollo no solo proporcionan un elevado aporte económico al país, sino también al territorio donde están enclavadas, al generar nuevos empleos y mercados para diferentes empresas, permitiéndoles incrementar y diversificar sus producciones. Cuba creó su primera zona especial de desarrollo en el 2013, localizada en el municipio Mariel, provincia de Artemisa. El aporte al desarrollo de empresas locales que producen bienes o servicios para ella aún no se ha cuantificado, pues no se tiene antecedentes en este tipo de evaluación en el país. Por tal motivo, este artículo tiene como objetivo: evaluar el impacto de la zona económica, en la Empresa de Construcción y Montaje Mariel, mediante la definición de dimensiones e indicadores determinados, a partir de experiencias internacionales, con una adaptación para Cuba. La evaluación contiene parámetros cuantificables, que indican el impacto en aspectos como: el empleo, la generación de riquezas y la productividad. El procesamiento de la información demostró que, de manera general, el impacto de la zona ha sido muy favorable; entre otros resultados, se destacan que se han generado más de quinientos empleos anuales promedio, así como un incremento sostenido de la productividad y del salario medio entre los años 2016 y 2018.

Palabras clave: impacto económico; impacto social; zona especial de desarrollo; impacto socioeconómico en zonas especiales de desarrollo


RESUMO

As zonas econômicas especiais de desenvolvimento não só proporcionam uma elevada contribuição económica para o país, mas também para o território onde estão localizadas, ao gerar novos empregos e mercados para diferentes empresas, permitindo-lhes aumentar e diversificar a suas produções. Cuba criou a sua primeira zona especial de desenvolvimento em 2013, localizada no município Mariel, província da Artemisa. A contribuição para o desenvolvimento de empresas locais que produzem bens ou serviços para a mesma ainda não foi quantificada, uma vez que não há precedentes neste tipo de avaliação no país. Por esta razão, o objetivo deste artigo é avaliar o impacto da zona económica na Empresa de Construção e Montagem Mariel, definindo certas dimensões e indicadores, com base em experiências internacionais, com uma adaptação para Cuba. A avaliação contém parâmetros quantificáveis, que indicam o impacto em aspectos tais como: emprego, geração de riqueza e produtividade. O processamento da informação mostrou que, em geral, o impacto da área tem sido muito favorável; entre outros resultados, vale a pena notar que foram gerados mais de quinhentos empregos anualmente, em média, bem como um aumento sustentado da produtividade e dos salários médios entre 2016 e 2018.

Palavras-chave: impacto económico; impacto social; zona especial de desenvolvimento; impacto socioeconómico em zonas especiais de desenvolvimento


 

INTRODUCTION

Since the early 1990s, Economic Zones (EZ) have been developed throughout the world, benefiting countries at the macro level in terms of increased foreign exchange, tax revenues and employment; similarly, at the micro level, the dynamics of benefits can also have a high impact in the short, medium and long term. EZ bring with them technology and knowledge spillovers that allow local producers to build capacity, the absorption of technologies for new or improved products, processes and organizational practices via technology transfer or simply through the knowledge and equipment brought in by foreign investors according to Farole (2012) and Arteaga et al. (2016).

Authors such as Arteaga et al. (2016) and Gómez and Molina (2018), who have researched the development of the EZ, agree that the objectives pursued in the different countries were: to generate employment, to attract foreign direct investment (FDI), to acquire new technologies and to diversify the export basket.

Arteaga et al. (2016) state that practically all investments in the zones are export-oriented; most of them come from foreign investors and a large part (in fact, almost all of them, until recently) are directed towards manufacturing. The export of manufactures from the Latin American region is produced by enterprises with FDI operating within these regimes, specifically in the manufacture of clothing, harnesses for ignition wiring and medical equipment.

In general, according to the Mexican government's Center for Public Finance Studies, "the Special Economic Zones are intended to close the development gaps that exist among the various regions of a country by creating industrial, logistical and service development strategies, among others, that attract investment, generate quality jobs, develop value chains and trigger demand for local services" (CEFP, 2017, p. 26).

In Cuba, the first experience was materialized in 1996, with the creation of the free zones Berroa, Wajay and Mariel; they did not have the desired effects by the political direction of the country. According to Salas (2007, p. 4), among the factors that contributed to the failure to achieve the expected results are:

"the insufficiencies in the organization and development of the internal wholesale market with cumbersome logistics; slow response capacity and uncompetitive price formation mechanisms; institutional and regulatory weaknesses that were reflected in the lack of effective instruments to enforce the export commitments made in the minutes of incorporation of the corresponding businesses by the established operators; the shortcomings of the financial system that led to the search for socially inefficient financing solutions for imports, based on commitments made from individual business perspectives; the overall incentive regime not very favorable to the export sector (overvalued exchange rate)".

Based on the difficulties that remain in Cuba to generate the levels of internal savings that favor growth and national development, in its development strategy until 2030, the acquisition of external financing is projected, considering direct foreign investment as an alternative. This is established in the Guidelines of the Economic and Social Policy of the Party and the Cuban Revolution, approved by the Cuban Communist Party in the VI Congress (PCC, 2011) and ratified in the VII Congress (PCC, 2017), in the midst of the process of updating the Cuban economic and social model.

In compliance with the policy, specifically guideline 103, in 2013 the Special Development Zone Mariel (ZEDM in Spanish) was created, located in the municipality of the same name, province of Artemisa, the first of its kind in the country due to its characteristics. The Cuban state attaches great importance to this program, based on the impact that the zones have had on economic growth, the improvement of the socioeconomic level, as well as the increase of welfare, in general, in the regions of the world where its implementation is successful.

The Economic Zones have an impact on local enterprises in the region where they are located, the latter are responsible for providing the necessary inputs and services, enabling investors to reduce the cost of importing raw materials essential for the production of goods and services, thus gaining time, money and benefit local enterprises, these impacts are demonstrated in research published by several authors such as Pan and Ngo (2016), Arteaga et al. (2016) and Gomez and Molina (2018).

These researchers have used different methodologies, dimensions and indicators in the impact evaluations carried out, observing that they are not homogeneous and that in general they respond to the interests of each government. According to UNCTAD (2019, p. 16) few countries systematically evaluate the performance and economic impact of the areas.

Although the national and provincial authorities and the zone itself have been systematically monitoring the progress of the different businesses approved for the zone, the country has not yet managed to carry out a comprehensive evaluation of the impact that the zone as a whole has, both in the economic and social order, from the perspective of the local businesses that provide services to it.

In view of the situation described, the research stated the following question: how to evaluate the socioeconomic impact of the ZEDM in the Mariel Construction and Assembly Enterprise (ECM in Spanish), defining as its objective: to evaluate the socioeconomic impact of the ZEDM in this enterprise, through the use of dimensions and indicators, determined from international experience and contextualized to the conditions and characteristics of the country.

 

MATERIALS AND METHODS

To develop the research, the first task was to locate, collection, process and analyze the bibliographic information on the conceptualization of the economic zones and the evaluation of their impact, published in the scientific journals indexed in the International Databases in the last 20 years, with emphasis on the last 10. The processing of this information was carried out using the research methods of a theoretical level: historical-logical and systemic-structural, supported by the techniques of documentary analysis and the procedures of analysis and synthesis and induction and deduction.

In order to obtain the empirical information, the measurement method was used, employing as techniques the documentary analysis and the survey of workers to know their perception of the economic impact of the ZEDM on the ECM. The survey was applied to 20% of all workers in the ECM, using the Pareto method as a selection criterion. The selected figure represents 833 workers; of these: 60 executives, 171 specialists, 121 technicians and 481 skilled workers.

The evaluation of the impact of the ZEDM on the ECM was carried out in two dimensions: economic and social. In the economic dimension, the following indicators were selected: average salary, productivity and generation of employment, and in the social dimension: use of means of security and protection, level of education of the workers and the exodus from the workplace.

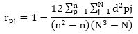
The information obtained from the survey was processed using descriptive statistics. The multidimensional correlation coefficient rpj was calculated, through the application of the processing software Cohaerentĭa, which allows to determine the reliability of the result obtained on the criteria of the respondents. To standardize the criteria, respondents were asked to provide them in an ascending ordinal scale from 1 to 5. Where 1-Bad, 2-Regular, 3-Well, 4-Very Good and 5-Excellent. From the results, the state of the consulted aspects was determined through the calculation of the median for grouped data, so that the central tendency that characterizes the ordinal scaling used could be discriminated, with greater precision, according to the formula (1):

(1)

As the adequate selection of the workers does not in itself guarantee that the expectations of an in-depth study will be absolutely fulfilled, ensuring the emission of criteria and correct judgments on the aspects that have been put to their consideration, once they have been synthesized, the scientific method requires the application of a logical procedure to evaluate the degree of reliability with which their opinions have been issued.

The recurrent logical procedure involves determining the degree of connection that has existed between the responses, whether positive or negative, to the assessments made by the respondents on the aspects of the consultation. Based on the resulting degree of connection, it can be inferred whether or not the respondents conducted a thorough and reliable analysis of the aspects they were consulted about.

To determine the degree of connection, the multidimensional correlation coefficient rpj (2) was calculated, which absolutely respects the admissible operations of the ordinal scale with which the state of the aspects has been recorded

 (2)

Where:

n = number of aspects to consult

N = number of respondents

dpj = distance between the ranges of each pair of the consulted aspects

The resulting multidimensional correlation coefficient was compared with the values of typical ranges of the degree of coherence returned by the software used.

 

RESULTS AND DISCUSSION

Results of the analysis of the theoretical references on the economic zones and the evaluation of its impact

The economic zones have several denominations issued by international institutions and the legal framework that protects them in each country, for example: in China they are known as Strategic Economic Zones (SEZ) or Free Trade Zones (FTZ); in the American continent, the term Special Economic Zones (SEZ) is used more frequently and in Colombia, the term Special Economic Export Zone (SEEZ) is used. A classification of these zones can be found in UNCTAD (2019) and CEFP (2017).

Gómez and Molina (2018) and UNCTAD (2019) explain that economic zones are delimited geographical areas in a country, created to attract export-oriented enterprises by offering special concessions in terms of taxes, customs duties and regulations, generally located near international communication routes and with access to the country's infrastructure.

From the analysis carried out on the names and characteristics given by institutions and researchers to this type of economic management, it is concluded that, although they differ slightly in their names, there is a group of common characteristics that homogenize them, among them that: in all cases, special regimes and policies are established; they are oriented to a greater extent to a free market economy; they have different economic regulations and export-oriented enterprises intervene by offering special concessions on taxes and customs tariffs.

Due to the similarities found, in the following, when referring to the zones, whatever their classification (SDZ, SEZ, FTZ, SEEZ) they will be called economic zone.

Cuba, a country that since 2011 is immersed in a process of updating its economic and social policy model; in 2014, it approved a new law for foreign investment (National Assembly of People's Power, 2014, p. 179). In this, the figure of Special Development Zone (SDZ) is conceived and defined as: "that where a special regime and policies are established, in which it is intended to promote sustainable economic development through attracting foreign investment, technological innovation and industrial concentration, with a view to increasing exports, effective import substitution and the generation of new sources of employment, in a constant articulation with the domestic economy".

Cuban legislation emphasizes the necessary links that must be established between the SDZ and the domestic economy, in order to generate productive chains that not only benefit the user enterprises in the area, but also others, located in other territories.

In this regard, Gómez and Molina (2018), when referring to the EZ in Latin America, consider that the most important channel for spills is through linkages within the supply chain, specifically backward linkages, which occur when local enterprises become providers of services for FDI. Hence, in order for these inputs to meet the quality standards required for their production, investors are interested in developing technology and knowledge transfer processes in such enterprises that can have a multiplier effect on related economies.

According to the legislation approved in Cuba, among the benefits that Cuban enterprises can obtain when interacting with the ZEDM are:

In order to know the impact of these EZ in the countries where they are located, it is necessary to carry out impact assessment processes. These impact evaluations may differ in terms of the dimensions they consider: economic, social and environmental; scope: municipal, provincial, national and international; actors: internal to the area, external or mixed; interests: internal to the area or to the governments where they are located. All of the above makes this process more complex and makes it necessary to establish clear definitions on the subject.

In this case, the evaluation of the impact of the SDZ on enterprises is understood as the process that systematically evaluates the medium or long term effect of the projects (national or foreign) developed in it, positive or negative, directly or indirectly at the municipal, provincial or national level, through the use of indicators that measure the transformations that have occurred in the economic, social or natural order.

Evaluation of the impact of ZEDM on ECM

Characterization of ECM Mariel

The Construction and Assembly Enterprise Mariel was chosen for the study, based on its links with ZEDM enterprises and the economic results achieved. It was created in 2010, as an International Economic Association, with the Construction and Infrastructure Enterprise of Brazil. This association was dissolved in 2014, when it was established as a Cuban state-owned enterprise with its own legal personality. Its main social responsibility is to provide services of all types of construction and assembly activities of various works, professional technical services of project, provide supply management services, design and engineering, as well as qualification of workers, marketing of construction materials, all for the development of infrastructure in the ZEDM.

For the execution of all activities derived from its social purpose, ECM is structured with a general management, ten main directorates and fourteen Basic Enterprise Units (UEB in Spanish) (Table 1).

Table 1 - Basic Enterprise Units of subordination to the ECM

Basic Enterprise Units

UEB

Construction enterprises (3 brigades)

UEB

Earthmoving (2 brigades)

UEB

Networks

UEB

Construction management

UEB

Industrial production

UEB

Workshops

UEB

Transportation

UEB

Assurance

UEB

Services and customer care

UEB

Operator Training and Qualification

UEB

Vials

UEB

Gardening

UEB

Industrial maintenance

Source: Elaborated by the authors from information of the ECM

Analysis of the results of the secondary information sources

The following are the results and analysis of the information obtained from the enterprise itself to evaluate the impact, both in the economic and social dimensions, in accordance with the indicators listed above.

Graph 1 shows the behavior of the ECM productivity between 2016 and 2018.

Graph 1 - Behavior of the ECM productivity in the years 2016, 2017 and 2018
Source: Elaborated by the authors from information of the ECM

As can be seen, there has been a significant increase in productivity between 2016 and 2018, estimated at 199%. This increase is explained by the number of users (investor projects in the area) that demand the services of the enterprise, which increased from ten in 2016 to 45 in 2018.

The increase in productivity, together with the system of payment by results that is applied in the enterprise, affects the increase in the average salary of the period as shown in graph 2.

Graph 2 - Average Salary behavior in the ECM
Source: Elaborated by the authors from information of the ECM

The generation of employment is one of the most significant economic indicators for what it represents for the development of the territories. This indicator is key to promoting economic growth, because if an economy can employ more workers in productive activities it will produce more, it will generate more wealth for society, which at the same time has a direct impact on the per capita income of each worker and indirectly on his or her family. Graph 3 shows the sustained growth of ECM jobs. Between 2016 and 2018, close to five thousand new jobs have been generated, averaging around 590 new jobs per year over the years. This growth is explained by the increase in the constructive demand of the users, which has implied not only increasing the number of workers in the existing UEBs, but also the creation of new UEBs and diversifying the services that the enterprise provides to the area.

Graph 3 - Behavior of the job generation of the MCE in the years 2016, 2017 and 2018
Source: Elaborated by the authors from information of the ECM

To evaluate the impact on the social dimension, the use of safety and protection means, the number of training actions and the qualification of the labor force were taken into account as indicators.

According to the information provided by the ECM between 2017 and 2018, investment in safety and protection means has increased by more than 11%, destined to the acquisition of boots, gloves, helmet, work pants and shirt, reflective vest, protective glasses, among others, without which the direct workers to the production could not work in the construction works, respecting the safety and protection rules of the worker in the work place. This growth is associated both to the increase in the number of workers and to the economic possibilities of the enterprise to have its income in freely convertible currency for its import.

Given the importance that the enterprise gives to the continuous training of its workers, a UEB for the Training and Qualification of Operators was created in 2018. This explains the growth of 126% in training activities, developed in 2018 in relation to 2017, and 88.7% in the number of people trained as shown in table 2.

Among the actions with the greatest impact on operators are: evaluation of drivers and operators of new equipment; training of operators in new equipment; updating of technicians in URE, lifting equipment and ISO standards; maintenance of heavy equipment; technical maintenance and repair of Yutong buses.

Table 2 - Behavior of the training in the ECM during the years 2017 and 2018

Indicators

U.M.

Training 2017

Training 2018

Real

Real

Training actions

U

100

226

Trained workers

U

1305

2461

Source: Elaborated by the authors from information of the ECM

In the qualification courses given, 178 workers have graduated in the specialties of Bricklayer B, Carpenter Formworker B, Ironworker, Motor Grader Operator B, Lifting Crane and Soil Maintenance Operator C, Front Dozer Operator C, Trencher Operator, Thermal Fusion Assembly Machine Operator, Prefabricated Integral Operator A and Plumber Installer B.

The training and qualification actions are oriented to the development of the labor competences of all the workers, with a view to reaching the maximum possible quality in each of the activities in which the ECM intervenes in order to continue expanding its projects and participation in the works in the area on the basis of greater competitiveness.

The training needs of workers in the ECM vary dynamically from the acquisition of new equipment, technologies and knowledge that are made annually to respond to the demands of users in the area. If the zone did not exist, these training actions would not have been carried out.

In order to carry out the analysis of the qualification level of the labor force in the ECM, the classification of levels used by the National Office of Statistics (Onei in Spanish) for its reports is assumed; that is, middle, middle-high and high level.

Graph 4 shows the changes in the qualification level between 2016 and 2018.

Graph 4 - Distribution of the workforce by educational level of the 2016 and 2018
Source: Elaborated by the authors from information of the ECM

As can be seen, the qualification level between 2016 and 2018 has increased. In 2016, the largest number of workers had an average level (9th grade), 49%, which was considered adequate, taking into account that the construction activities carried out at first, within the ZEDM, were associated with the preparation of construction works, which do not require a high level of qualification.

Since 2017, this situation has begun to change, due to the increase in specialized UEB and the completion of the staff in positions, with technical, administrative and service occupational categories that require higher qualification. Hence, workers with a higher average level are predominant with 46%.

As can be seen in table 3a, in 2016, 86% of the total number of workers came from the province of Artemisa, a percentage that decreased in 2018 to 83%. The remaining 17% came from all provinces in the country except Ciego de Ávila.

Table 3a - Workers of the ECM by provinces

Province

Year 2016

Year 2017

Year 2018

Havana

204

304

318

Pinar del Río

25

48

77

Artemisa

3107

3440

3994

Mayabeque

5

8

Matanzas

5

5

5

Villa Clara

14

17

14

Santi Spíritus

8

10

8

Camagüey

10

12

14

Holguín

19

29

36

Granma

22

69

78

Santiago de Cuba

27

39

45

Guantánamo

6

7

11

Las Tunas

17

26

30

Cienfuegos

132

153

146

Isla de la Juventud

0

4

4

Total

3601

4168

4788

Source: Own elaboration from information issued by the ECM

Table 3b - Workers of the ECM from Artemisa province, by municipalities

Municipality

Year 2016

Year 2017

Year 2018

Bahía Honda

390

507

649

San Cristóbal

209

220

323

Mariel

1517

1549

1611

Candelaria

23

44

66

Artemisa

287

406

471

Alquízar

6

27

39

Güira de Melena

8

9

19

San Antonio

19

37

47

Bauta

86

102

124

Caimito

206

259

309

Guanajay

356

280

336

Total

3107

3440

3994

Source: Own elaboration from information issued by the ECM

Among the eleven municipalities of the Artemisian territory, the one with the highest workforce representation in the ECM is Mariel with 40%, followed by Bahía Honda with 16%, Artemisa 12% and Guanajay and San Cristóbal 9%. It can be seen in table 3b that the localities on the southern coast of the province such as Alquízar, San Antonio de los Baños and Güira de Melena are the ones with the lowest percentage, with only 2.6%.

Table 3 also shows that between 2016 and 2018 the number of workers in the different territories has been maintained or increased; this may be an expression of the influence that their criteria has had on their family or closest circle.

Workers survey results

To corroborate and expand on the above evidence, based on the workers' own criteria, a survey was applied to a sample of workers, as explained in materials and methods.

In graph 5, the results of the median calculation of the respondents' responses are shown.

It can be seen that, of the 31 aspects on which the workers' criteria were inquired about, only six of them revealed values below the median, which is three, and therefore were rated with less favorable impacts below regular.

Graph 5 - Median behavior from applied survey responses
Source: Own elaboration

In no case was the impact of evil assessed. However, it is noteworthy that no worker valued the impact of excellent. This indicates that, in the opinion of the workers, the impact has been good or very good, but there is a group of aspects that still do not meet their expectations.

The following are among the least favorable aspects:

As aspects valued favorably are:

To be certain of the reliability of the responses, the multidimensional correlation coefficient was calculated, giving as a result rpj=0.614. This coefficient was compared with the typical ranges of the rpj coefficient shown in table 4 and obtained by applying the processing software Cohaerentĭa, from which it is concluded that the workers were consistent in giving their opinions.

Table 4 - Typical ranges of the degree of coherence

Ranges de rpj

Coherence degree

rpj ≥ 0,823

Highly coherent

0,823 > rpj ≥ 0,708

Quite coherent

0,708 > rpj ≥ 0,576

Coherent

0,576 > rpj ≥ 0,337

Incoherent

0,337 > rpj ≥ 0,297

Quite incoherent

rpj < 0,297

Highly incoherent

Source: Processing software "Cohaerentĭa"

As conclusions, it can be stated, from the results previously analyzed, that the ZEDM has had a short term, positive and direct impact in the Construction and Assembly Enterprise Mariel, which is coherent with the affirmation of the mentioned authors and Law No. 118 of Foreign Investment in Cuba, when they propose the benefits of the spills of the EZ, via productive chains, towards the territories where they are located.

As the ZEDM has been developed, the ECM has been growing, both in terms of the number of workers, diversification of its products and services, enlargement of its organizational structure, growth and modernization of its technologies, and in terms of the generation of wealth, through work productivity.

The workers who work here are paid thirteen times the national average salary, with superior working and living conditions, which makes the enterprise very attractive to attract new workers, both from the province of Artemisa, as well as from other territories. This is an aspect that, for the municipalities and enterprises not related to the EZ, is valued as a negative impact, especially when it causes movements of the economically active population, employed in similar sectors or not.

 

REFERENCES

Arteaga Ortiz, J., Ferrer, P., Miranda Martel, M. J., & Riveras, J. (2016). Estudio y análisis de Zonas Económicas Especiales. Propuestas de mejora para las Zonas Francas españolas actuales. Revista Empresa y Humanismo, XIX(2), 7-50. https://doi.org/10.15581/015.XIX.2.7-50

Asamblea Nacional del Poder Popular. (2014). Ley 118 de 2014. De la Inversión Extranjera. Gaceta Oficial de la República de Cuba, Edición Extraordinaria No. 20.

CEFP. (2017). Experiencias internacionales de las zonas económicas especiales. Centro de Estudio de Finanzas Públicas. Cámara de Diputados de México. https://www.cefp.gob.mx/publicaciones/nota/2017/notacefp0172017.pdf

Farole, T. (2012). Desarrollando el potencial exportador de América Central. Banco Mundial. http://documents1.worldbank.org/curated/en/263621468011740500/pdf/839270WP0Vol040Box0382116B00PUBLIC0.pdf

Gómez Zaldívar, F., & Molina, E. (2018). Zonas Económicas Especiales y su impacto sobre el desarrollo económico regional. Problemas Del Desarrollo. Revista Latinoamericana de Economía, 49(193), 11-32. http://dx.doi.org/10.22201/iiec.20078951e.2018.193.61285

Pan, W. H., & Ngo, X. T. (2016). Endogenous growth theory and regional performance: The moderating effects of special economic zones. Communist and Post-Communist Studies, 49(2), 113-122. https://doi.org/10.1016/j.postcomstud.2016.04.005

PCC. (2011). Lineamientos de la Política Económica y Social del Partido y la Revolución. Partido Comunista de Cuba. VI Congreso. https://www.pcc.cu/sites/default/files/documento/pdf/20180426/lineamientos-politica-partido-cuba.pdf

PCC. (2017). Lineamientos de la Política Económica y Social del Partido y la Revolución para el período 2016-2021. Partido Comunista de Cuba. VII Congreso. http://www.granma.cu/file/pdf/gaceta/Lineamientos%202016-2021%20Versi%C3%B3n%20Final.pdf

Salas Couce, C. (2007). La inversión extranjera directa en Cuba. Situación actual y propuesta de política. Análisis Económico, XXII(51), 123-140. https://www.redalyc.org/articulo.oa?id=41311486007

UNCTAD. (2019). Informe sobre las Inversiones en el Mundo 2019: Zonas económicas especiales. United Nations Conference on Trade and Development. https://www.iisd.org/itn/es/2019/06/27/world-investment-report-2019-special-economic-zones/

 

Conflict of interest:

Authors declare not to have any conflict of interest.

 

Authors' contribution:

The authors have participated in the writing of the paper and the analysis of the documents.

 


This work is licensed under a Creative Commons Attribution-NonCommercial 4.0 International License
Copyright (c) Maidelin Quesada Sotolongo, Maricela González Pérez, Humberto García Valdés