Cooperativismo y Desarrollo, May-August 2020; 8(2), 230-249
Translated from the original in Spanish

 

Environmental economic assessment of the Varginha Zoobotanical Park: Application of the Travel Cost Method

 

Valoración económica ambiental del Parque Zoobotánico de Varginha: Aplicación del Método de Costo de Viaje

 

Valoração econômica ambiental do Parque Zoobotânico de Varginha: Aplicação do Método do Custo da Viagem

 

José Ricardo Miotto Gabrielli1, Alain Hernández Santoyo2, Marcelo Lacerda Rezende3

1 Universidad Federal de Alfenas (UNIFAL-MG). Brasil. ORCID: https://orcid.org/0000-0001-7725-7144. Email: jricardogabrielle@gmail.com
2 Universidad Federal de Alfenas (UNIFAL-MG). Brasil. ORCID: https://orcid.org/0000-0003-2766-7019. Email: santoyocuba@gmail.com

3 Universidad Federal de Alfenas (UNIFAL-MG). Brasil. ORCID: https://orcid.org/0000-0003-1106-4176. Correo electrónico: marcelo.rezende@unifal-mg.edu.br

 

Received: March 26th, 2020.
Accepted: May 28th, 2020.


ABSTRACT

In recent decades, environmental economic valuation has become a useful and necessary tool for decision-making processes involving the sustainable use of natural resources. In view of this reality, it was decided to carry out this study, for which the objective was to estimate the recreational use value of the Varginha Zoobotanical Park, in the State of Minas Gerais, Brazil, the only one of its kind in the region with the presence of species of Brazilian and universal flora and fauna. It was used the Travel Cost Method, recognized as one of the most important in estimating revealed preferences, specifically in obtaining the value of recreational use of natural areas, from the calculation of travel costs associated with their visits. The data for the study were obtained by applying an online questionnaire that allowed for the calculation of travel costs, permanence costs, total cost of their trips, their respective demand curve, the consumer's surplus and, thus, the estimation of their recreational use value. The results demonstrated the importance of the park for the inhabitants of the region and, in turn, represent a relevant contribution to the design of future environmental policies and the reordering of the conception about the need for an integration of ecosystem services in local and regional development planning.

Keywords: Travel Cost Method; revealed preference methods; environmental economic assessment; Varginha Zoobotanical Park


RESUMEN

En las últimas décadas, la valoración económica ambiental se ha convertido en una herramienta útil y necesaria para los procesos de toma de decisiones que comprenden el aprovechamiento sostenible de los recursos naturales. Ante esta realidad, se decidió la realización del presente estudio, cuyo objetivo consistió en estimar el valor de uso recreativo del Parque Zoobotánico de Varginha, en el Estado de Minas Gerais, Brasil, único de su tipo en la región con presencia de especies de la flora y fauna brasileña y universal. Se utilizó el Método de Costo de Viaje, reconocido como uno de los más importantes en la estimación de preferencias reveladas, específicamente en la obtención del valor de uso recreativo de espacios naturales, a partir del cálculo de los costos de viaje asociados a sus visitas. Los datos para el estudio fueron obtenidos mediante la aplicación de un cuestionario online que permitió calcular el costo de desplazamiento, costo de permanencia, costo total de sus viajes, su respectiva curva de demanda, el excedente del consumidor y, con ello, la estimación de su valor de uso recreativo. Los resultados demostraron la importancia del parque para los habitantes de la región y, a su vez, representan una contribución relevante para el diseño de futuras políticas ambientales y el reordenamiento en la concepción acerca de la necesidad de una integración de los servicios ecosistémicos en la planificación del desarrollo local y regional.

Palabras clave: Método de Costo de Viaje; métodos de preferencias reveladas; valoración económica ambiental; Parque Zoobotánico de Varginha


RESUMO

Nas últimas décadas, a valoração econômica ambiental tornou-se um instrumento útil e necessário para os processos de tomada de decisões que envolvem o aproveitamento sustentável dos recursos naturais. Diante essa realidade, foi realizado este estudo, cujo objetivo consistiu em estimar o valor de uso recreativo do Parque Zoobotânico de Varginha, no Estado de Minas Gerais, Brasil, único do seu tipo na região com a presença de espécies de flora e fauna brasileiras e universais. Utilizou-se o Método do Custo da Viagem, reconhecido como um dos mais importantes na estimativa das preferências reveladas, especificamente na obtenção do valor do uso recreativo de espaços naturais a partir do cálculo dos custos da viagem associados às suas visitas. Os dados do estudo foram obtidos através da aplicação de um questionário online que permitiu o cálculo dos custos da viagem, dos custos de permanência, do custo total das viagens, da respectiva curva de demanda, do excedente do consumidor e, com ele, a estimativa do seu valor de uso para fins recreativos. Os resultados demonstraram a importância do parque para os habitantes da região e, ao mesmo tempo, representam uma contribuição relevante para a formulação de futuras políticas ambientais e para a reordenação da concepção sobre a necessidade da integração dos serviços ecossistêmicos no planejamento do desenvolvimento local e regional.

Palavras-chave: Método do Custo da Viagem; métodos de preferência reveladas; valoração econômica ambiental; Parque Zoobotânico de Varginha


 

INTRODUCTION

An important challenge for contemporary economic science has been its constant concern with making visible all those benefits or costs associated with changes in ecosystems that affect the well-being of individuals in society, so that these economic values can be integrated into decision-making processes (Loyola Gonzales et al., 2015).

In this sense, estimating the economic value of these ecosystem goods and services requires relating them to possible changes in individual or social welfare functions. These processes constitute a fundamental tool for the adequate formulation of environmental policy instruments capable of reconciling the maintenance and conservation of the environment with economic growth (Tyskowski Teodoro Rodrigues et al., 2018).

Such studies allow the estimate of ecosystem and recreational service values, increase social awareness, evaluate and select the best policy or project alternative that maximizes social welfare, environmental policy design and the integration of ecosystem services into development planning at local, regional and national levels. They can also provide information for the design of environmental regulation instruments, design of environmental financing mechanisms or know the monetary value of the flow of natural heritage (Loyola Gonzales et al., 2015; Tahzeeda et al., 2018).

It is important to emphasize that the methodologies of economic valuation of goods and ecosystem services allow the measurement or estimation of the preferences of individuals and their respective measures of well-being in the face of possible changes associated with the enjoyment of a certain service or an improvement or deterioration of environmental quality (Azqueta, 1994).

The measurement of these preferences in the face of possible changes in relation to an ecosystem good or service implies the estimation of its welfare function, which implies a new conceptualization in the definition of economic value for these spaces. This approach leads to the theory of Total Economic Value (VET in Spanish), which comprises two main benefits: use value and non-use value. Use value refers to the use, plan of use or possible future use of a good or service, while non-use or passive value is related to existence value, altruism and inherited values (Azqueta, 1994; Azqueta et al., 2007; Solikin et al., 2019; Tahzeeda et al., 2018).

Those resources that do not have a market value, such as aesthetic value, ecological functions or the function of water use, are generally not traded in the market, therefore, they require an economic valuation, essentially not linked to the market value to determine their value (Desta & Bersisa, 2019).

To determine the recreational use value in this study, the Cost of Travel Method (MCV in Spanih) or Clawson Method is used. The MCV allows for the estimation of the recreational use value of some goods or services that are not obtainable through the market, such as: forest parks, ecosystems, beaches, etc. (Mohammadi et al., 2014). It is assumed that the value of a certain good or ecosystem service is reflected in the costs incurred by its users to make one or more visits, revealing their individual preferences and actual behavior.

The research was developed at the Dr. Mário Frota Zoo or Varginha Zoo, as it is also known, which is one of the main tourist and recreational attractions in the region. Its objective was to estimate the recreational use value of the Varginha Zoobotanical Park, which belongs to the southern region of the State of Minas Gerais, Brazil. In order to fulfill the purpose outlined, the study has been structured in three sections, including the present introduction. In the second section of Materials and Methods, the theoretical-methodological aspects of the method used (MCV) are incorporated, with their respective calculation procedures, data collection and sampling techniques. Finally, in the Results and Discussion section, the main contributions of the research are presented and discussed.

 

MATERIALS AND METHODS

Economic valuation of ecosystem goods and services can be developed from two different approaches: revealed preference methods and declared preference methods. Revealed preference methods are based on the behavior of individuals and on data obtained indirectly, while stated preference methods ask users to directly provide a measure of value (defined by their willingness to pay or to be compensated, DAP (in Spanish) or DAC (in Spanish) respectively) for the environmental resource.

Among the revealed preference methods, those based on the production function stand out, either through marginal productivity or substitute goods, such as: changes in productivity, dose-response function, avoided costs, replacement cost, cost-benefit analysis, travel cost method (MCV), hedonic price method (MPH in Spanish), among others. The declared preference methods simulate hypothetical markets directly for the user. Some of the most widely used methods are recognized, such as: the contingent valuation method (MVC in Spanish), contingent ordination (MOC in Spanish), contingent score (PC in Spanish), choice experiments (EE in Spanish), etc.

In view of the inexistence of real markets to value those environmental goods or functions such as the recreational use value of natural or urban parks and considering the need to discover the importance that individuals give to these spaces, it has been decided to use the travel cost method (MCV) as a tool to estimate the recreational use value of the Dr. Mário Frota Zoobotanical Park, in the city of Varginha, State of Minas Gerais, Brazil.

Travel Cost Method (MCV)

The Cost of Travel Method (MCV) or Clawson Method is the oldest methodology for determining values for some types of non-market goods. Its idea was suggested by Hotelling in 1947 and later introduced by Clawson in 1959. Currently, several authors have used it to estimate values for recreational, cultural, historical, heritage, tourist or scenic uses (Blaen et al., 2016; Grilli et al., 2018; Marini Govigli et al., 2019; Mohammadi et al., 2014; Robert Egbenta, 2017; Tahzeeda et al., 2018; Zhang et al., 2015).

The MCV allows for the estimation of the value of the benefits that an individual derives from visiting a given natural area, based on the costs incurred by the user to visit the site. In this way, the value of an environmental resource will be estimated by the expenses incurred by visiting the site, including transportation, travel time, entrance fees and other expenses (Zulpikar et al., 2018).

A function is established that relates the rate of visits to the variables of cost of travel, time, entrance fee, socioeconomic characteristics of the visitor and others that can explain the visit to the natural heritage. Data are obtained through questionnaires applied to a sample of the population at the place of visit.

The idea of the MCV is that the expenditure made by families to travel to a destination, usually for recreation, can be used as a representation of the benefits provided by this recreation (Azqueta et al., 2007; Robert Egbenta, 2017; Torres Ortega et al., 2018; Voltaire et al., 2017).

There are two classic variants of the method: (1) Area Cost of Travel Method (MCVZ in Spanish), whose purpose is to estimate the average propensity to visit a given destination from the different zones in which its area of influence is divided; (2) Individual Cost of Travel Method (MCVI in Spanish), which attempts to discover the individual demand for recreational services in a destination by conducting a survey of visitors (Mohammadi et al., 2014; Robert Egbenta, 2017; Voltaire et al., 2017). Its main difference with the MCVZ is that it uses individual rather than zonal data revealed from visitor surveys. In the specific case of this study, the variant of the MCVZ has been used.

When using the MCV, it is assumed that the recreational use value of a natural resource is reflected in the willingness of visitors to pay for their visit, so their decision implies the existence of a surplus associated with their consumption. Along with consideration of cost issues, the quality of recreational facilities and demographic factors (e.g., age, gender, education, occupation) will also affect the choice and frequency of visits.

Thus, the method comprises a wide range of parameters, which are simultaneously reconciled by individuals in their decision to make a destination visit. According to the theory of utility maximization, the optimization problem presented in the MCV can be described as follows (Torres Ortega et al., 2018):

Max U (q, I, z)

sa: TC * q + z = I

Where:

U = profit obtained from the consumption of a certain quantity of the good

I = rent

q = quantity consumed of good

z = corresponds to the consumption of other goods

TC = travel cost

As such, the Marshallian demand for a given destination is represented as:

R = f (q, TC, z, I)

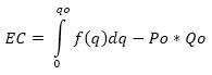
Calculation of Consumer Surplus (EC in Spanish)

The Consumer Surplus represents the difference between the total amount consumers are willing to pay and the total value they actually pay for a given good or service, and is considered a widely accepted measure of net social benefit (Tahzeeda et al., 2018; Torres Ortega et al., 2018). Using the inverse exponential demand function, the Consumer Surplus for visitor demand is determined as the area under the demand curve and above its corresponding market price; in this case, the value of the travel cost.

Knowing the demand curve of the good and its market price, it is possible to quantify the Consumer Surplus for said good, once the area limited by the demand curve and its direct market price is calculated.

In analytical terms, according to Sebold and Silva (2004), the Consumer Surplus can be determined as follows:

a) Total Wish (DT in Spanish) to be paid by the consumer:

b) Actual Cost or Expense (CR in Spanish):

c) Consumer Surplus (EC in Spanish):

Methodological procedure

The procedure used in this work corresponds to that proposed by Sebold and Silva (2004), adopted in multiple studies for the estimation of the value of recreational use in natural parks, such as: Rosandra Valley Park in Italy; Moncayo Natural Park; Ordesa and Monte Perdido National Park in Spain; Masouleh Forest Park in Iran; Hikkaduwa Marine National Park in Sri Lanka; Pahang National Park in Malaysia, among others.

The different stages of the procedure are defined below:

a) Survey of the number of visits (Vij): The number of visits can be obtained by applying a questionnaire. The sample of respondents can be divided into groups, areas or administrative districts according to their origin in order to determine the place of origin of the visitors. It is possible to choose a representative sample from each location.

b) Survey of the rate of visits to the park: The rate of visits to the park can also be obtained by analyzing the data from the questionnaire. As the data are collected through a questionnaire per family, they must be individualized in the calculation. To do this, the total number of people by city of origin takes into account the number of visits, divided by the number of families.

c) Survey of total cost of travel: The total cost of travel can be divided into the cost of travel to the destination and the cost of stay. The cost of travel is given by the cost of transportation, based on fuel consumption from your hometown to the destination. The cost of staying consists of the cost of accommodation, food, entrance to the park and other additional travel expenses. The cost of time, which is theoretically suggested for evaluation, was not considered in this study due to limitations with obtaining the information.

d) Obtaining the demand curve: The estimation of the demand function of visits for each region uses the set of values that describe the entrance flow to the park. The function is determined in order to relate the number of visits to a destination with the total costs corresponding to their visits.

e) Estimation of the recreational use value of the Varginha Zoobotanical Park: From the composition of the total travel costs and the visits made to the park, it is possible to find a set of points that allow us to obtain the demand curve of the park's users. Knowing the estimated demand, it will be possible to calculate the "Consumer Surplus" obtained during the period studied. This value, which represents the area under this curve, together with the number of families that would be willing to pay to visit the destination, allows us to estimate the recreational use value of the Varginha Zoobotanical Park.

Data collection and sampling

The data was collected through the application of an online questionnaire available to the inhabitants of the city of Varginha and surrounding regions during the month of July 2019, in order to obtain the local population's perception of the park's recreational use value.

A Simple Random Sampling (MAS in Spanish) was used to obtain the optimal sample size, incorporating the information provided by the park. According to the statistics of this destination, the average number of visitors per day is around 50 people which, multiplied by 51, represents an estimate of visitors per week, reaching a population of 250 people.

The sample size was obtained using the following expression, according to Parga and Alonso (2018):

Where:

N = Population size

z 2 = Critical value for 1- (reliability level)

p = q = 0.5 Maximum ratio variability

E = Maximum permissible error

In the research, a maximum permissible error of 10%2 was used, with a reliability level of 95%, obtaining an optimal sample size of 70. Given the lack of return from respondents in completing the questionnaires, the number of responses or invalid questionnaires, for various reasons and the short time available, it was only possible to reach a total of 65 valid surveys, which we identified as a limitation of the research.

Since the objective of the study was to estimate the recreational use value of the Varginha Zoo, which is of great importance for the inhabitants of the region, and considering that the difference with the number of valid surveys obtained is really small, together with the fact that the procedure is based on the population data of each region of origin, we proceeded with the analysis of the surveys. On the other hand, there was a latent intention on the use of the Travel Cost Method as a support tool in the decision-making processes at a local level.

 

RESULTS AND DISCUSSION

The Dr. Mário Frota Zoobotanical Park is part of the set of tourist and recreational attractions in the city of Varginha managed by the Municipal Secretariat of Tourism and Commerce (SETEC in Spanish), which belongs to the Municipal Prefecture of Varginha.

According to data provided by the Cultural Foundation of Varginha, it was created in 1963 with the initiative of Dr. Mário Frota to buy land to house the animals of the Great African Circus, which was in financial difficulties at the time. It was later inaugurated in 1966 with the construction of the first animal enclosures and in 1967, the area was declared of public utility.

It covers an area of approximately 5 hectares (44 000 m²) and has about 50 species with about 350 animals. In 1971, the cooperation agreement was signed with the State Forestry Institute (IEF), achieving the paving of the building and the "Maria Fumaça" Train3, which is still present in the premises, was received from the Railway Network. It was originally called "Parque Zoobotânico Bravo da Câmara", in recognition of the Varginhense aviator who participated in several missions in the Amazon, together with Dr. Frota. Later, in 1981, after the death of Dr. Mário Frota, the park was renamed in honor of this renowned doctor.

In figure 1, its location is presented, highlighting its easy access for visitors from different cities of origin. Given its exuberant vegetation, the park is a pleasant space to enjoy leisure activities and to carry out multiple educational activities.

Fig. 1 - Location of the Dr. Mário Frota Zoobotanical Park
Source: Adapted by the authors from information provided by the Municipal Secretariat of Urban Planning - Municipal Prefecture of Varginha

Once the questionnaires were applied to visitors to the area under study, it was possible to find out which were the main cities of origin of the visitors, the number of family groups, their total costs at the destination and the number of visits made to the destination, as shown in table 1.

By analyzing this table, it can be verified that, in the vast majority of cases, the people who visited the park were local residents of the city of Varginha. On the other hand, the visitors from these groups, who answered the questionnaire, did not live in Varginha or lived temporarily in the city, had not visited the destination before. A sample of this is the group of students surveyed at the Federal University of Alfenas (UNIFAL-MG), Campus Varginha, where many of their students come from multiple cities, including other states, but live temporarily in the city.

Table 1 - Description of visitors to the park

No.

City of origin

Groups

Number of people

Costs

Visits

1

Varginha

63

145

623,00

113

2

Três Corações

2

3

25,00

2

3

Elói Mendes

1

1

5,00

1

4

Monsenhor Paulo

0

0

0,00

0

5

Três Pontas

1

2

9,00

1

6

Paraguaçu

0

0

0,00

0

7

Alfenas

0

0

0,00

0

8

Campanha

0

0

0,00

0

9

Carmo da Cachoeira

0

0

0,00

0

10

Otros

1

4

10,00

3

Totals

65

152

658

118

Source: Elaborated by the authors from the questionnaire data

Observing this fact, it is evident that almost all the respondents originated in Varginha and that the rest of the cities in the region hardly have any participation, mainly due to various factors associated with the management of the park.

To solve this situation, an approach was chosen that uses the Varginha data as a reference to estimate the remaining values, without taking into account the "absent" values or the discrete representation of the rest of the cities.

To calculate the data of the cities of origin, the average cost per family or group in the city of Varginha was considered, which was R$ 10.00 (Table 1 - row 1). This calculation was obtained by the quotient of the costs of the visitors in the park, currently residents in Varginha, which was R$ 623.00 and the number of groups, which was 63 families. In the case of the rate of visits, the number of visits (113) was taken into account, divided by the number of families (63), reaching an average rate of 1.79 visits per year.

In accordance with the approach considered in this study, the calculations presented above were used in table 2 as parameters to obtain the cost of stay by group or family and the average rate of visits for each of the cities of origin.

The distance data in the first column were obtained, using the routes described by "Google Maps" from the central reference point of each of the cities to the main entrance of the park. To estimate the cost per kilometer, equivalent to R$ 0.36, the midpoint between the values of ethanol (R$ 2.80) and gasoline (R$ 4.40) was used, assuming that the autonomy of the vehicles is around 10 km/l, since most of the respondents used a car to reach their destination.

Table 2 - Costs and visits according to cities of origin

City of origin

Distance1
(km)

Cost/km

Cost Displa.
(R$)

Cost
Perm/grupo
(R$)

Total cost of travel
(R$)

Rate of visits
(year)

Varginha

8

0,36

2,88

10,00

12,88

1,79

Três Corações

66

0,36

23,76

17,33

41,09

0,22

Elói Mendes

36

0,36

12,96

14,00

26,96

0,40

Monsenhor Paulo

82

0,36

29,52

19,11

48,63

0,18

Três Pontas

62

0,36

22,32

16,89

39,21

0,23

Paraguaçu

76

0,36

27,36

18,44

45,80

0,19

Alfenas

136

0,36

48,96

25,11

74,07

0,11

Campanha

92

0,36

33,12

20,22

53,34

0,16

Carmo da Cachoeira

72

0,36

25,92

18,00

43,92

0,20

Others

180

0,36

64,80

30,00

94,80

0,08

1 The distance in km includes round travel route

Source: Elaborated by the authors from the questionnaire data

Thus, the cost of travel to the Varginha Zoobotanical Park is calculated by multiplying the distance between each city of origin with the same and the expenses per kilometer traveled.

The consumption of the families in the park or cost of stay of the families/groups was obtained from the consumption of Varginha, as a reference point, which estimated value amounts to R$ 10.00. In turn, it was also considered that the families that would come from more distant places have a greater probability of consuming at the destination (coefficient or ratio of increase given by the distance function), product of the wear and tear of the trip and the limited resources during the route, which could induce people to wait for the arrival at the destination to eat and buy consumables (function of the degree of anxiety or pleasure on the consumption).

Considering the above premises and using as an assumption that the distance between the most distant city and the park would generate, according to Sebold and Silva (2004), an additional consumption expectation of R$20.00 for cities between 0 and 250 km, the estimation of the consumption value of each city is obtained through the expression: R$20.00 of additional consumption divided by the distance to the furthest city (180 km), this quotient, multiplied by the distance (round trip) from the city under analysis to the park and, finally, added to the consumption per group of Varginha (R$10.00).

For a better understanding, we take as an example the city of Três Corações, whose distance (round trip) to the park is 66 km. The calculation begins with the value of R$ 20.00 as additional consumption, then divided by 180 km (0.111), we multiply it by the distance from Três Corações to the park (0.111 x 66 = 7.326) and add it to the consumption of Varginha (7.326 + R$ 10.00 = R$ 17.33, as shown in table 2.

In relation to the estimate of the rate of visits per year, as explained above, it results from the relationship between the number of visits and the number of groups or families. As in the case of calculating the cost of permanence for families, the consumption of Varginha was used as a reference, but in this case there is an inverse function to that explained in relation to the cost of permanence and distance, that is, the greater the distance, the less interest there will be in visiting the park during the year. Thus, the estimation of the visit rate per year is obtained through the expression: distance from the city of Varginha to the park, divided by the distance from the city analyzed; all this multiplied by the visit rate per year in Varginha.

As an example, we take again the city of Três Corações. The calculation consists of the distance from Varginha to the park (8 km) divided by the distance from Três Corações to the park (66 km) and this ratio is multiplied by the visit rate of Varginha (1.79), reaching a rate of 0.22 visits per year from Três Corações.

From the values estimated in table 2, based on the primary data from the survey results, it is possible to estimate the demand curve for visits to the Varginha Zoobotanical Park, represented in figure 2.

Fig. 2 - Demand curve for park visits
Source: Elaborated by the authors from the questionnaire data

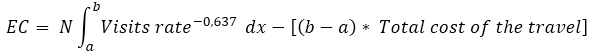
Note that the demand curve on park visits, presented in Figure 2, describes a generic Marshalliana demand function. This being the case, it is possible to define a general function as follows:

Where:

C = Average cost per family/family group

N = Average number of visits per family/family group

= Parameter of the function

t = Rate of increase of the function

To identify the Consumer Surplus, that is, the area under the Marshall demand curve, the integration calculation of the estimated demand function is used as follows:

v = Lower limit of the visit rate

V = Upper limit of the visit rate

By comparing the generic Marshallian demand function with the inverse exponential function found in this study, which has the form Total costs = 16.708 visits -0.635, whose determination coefficient is approximately 95%, we can assume the feasibility of the curve fit found.

Therefore, the following expression can be used to calculate the Consumer Surplus:

The participation of each city in the region in the formation of the Consumer Surplus can be obtained as shown in table 3. For this, it was necessary to use the data referring to the estimated population of each of the cities of origin, according to the information provided by the Brazilian Institute of Geography and Statistics (IBGE), at the end of December 2019.

In relation to the average number of people per family or family groups visiting the park, the city of Varginha was taken as a reference, given its representativeness in the group analyzed.

Table 3 - Consumer Surplus Estimate

City of origin

Pop.1

PF2

NF33

Vi4

CT5

EC/F6

EC Total

Varginha

135 558

2,3

58 938,26

1,79

12,88

16,17

953 031,66

Três Corações

79 482

2,3

34 557,39

0,22

41,09

2,36

81 555,44

Elói Mendes

28 076

2,3

12 206,96

0,40

26,96

5,88

71 776,92

Monsenhor Paulo

8 688

2,3

3 777,39

0,18

48,63

1,39

5 250,57

Três Pontas

56 746

2,3

24 672,17

0,23

39,21

2,66

65 627,97

Paraguaçu

21 513

2,3

9 353,48

0,19

45,80

1,70

15 900,92

Alfenas

79 996

2,3

34 780,87

0,11

74,07

0,02

695,62

Campanha

16 665

2,3

7 245,65

0,16

53,34

0,96

6 955,82

Carmo da Cachoeira

12 170

2,3

5 291,30

0,20

43,92

1,94

10 265,12

Others

150 000

2,3

65 217,39

0,08

94,80

0,00

0,00

Totals

 

 

256 040,87

 

 

 

1 211 060,05

1 Estimated population at the end of 2019
2 Average number of people per family or family group visiting the park
3 Number of families or family groups
4 Visitor rate per year
5 Total cost of travel (R$)
6 Consumer surplus by family or household (R$)

Source: Elaborated by the authors from the questionnaire data

In the case of the calculation of the Consumer Surplus by family or household in each city, the following was used:

If it is taken the city of Três Pontas as an example, we observe that its upper limit for the rate of visits is 0.23 and the lower limit is 0.08, whose value remains constant for all regions. The parameter of the estimated function is 16.594, the rate of increase is -0.637 because it is an inverse exponential function and the value of the total travel cost associated with this city is R$ 39.21. With these data, the calculation of the Consumer Surplus for the city of Três Pontas can be obtained as:

The estimate of the Total Surplus is defined as the product of the Consumer Surplus by family or household in each city of origin and the number of families or households. For example, the Total Surplus for the city of Carmo da Cachoeira is: 5 291.30 x R$1.94 = R$10 265.12.

Once this value is estimated for one of the cities, the Total Surplus of visitors to the park is obtained by adding up the specific values for each city. This value amounts to R$ 1,211,060.05, taking into account the total costs of visitors for travel and stay in the destination.

However, to estimate the value of the Total Wish (TW) to be paid by park visitors, the following expression defined above is used for the Consumer Surplus of all visitors in the region, obtaining the following result:

This value represents the average willingness to pay per family in the entire region studied. Therefore, if we multiply this value by the number of families or family groups in the region, we obtain the Total Willing to Pay for the whole community, that is: R$ 38.20 x 256 040.87= R$ 9 780 761.234.

From an economic point of view, this result means the willingness or Total Desire to pay of the potential users of the region for the enjoyment of the Varginha Zoobotanical Park. In other words, it represents the estimate of the recreational use value that visitors attribute to the destination, for which they would be willing to pay, once it is part of the set of attributes of their welfare function.

This result cannot be understood as a market value associated with the Varginha Zoobotanical Park, but as an approximation to its true use value, specifically recreational, through one of the analytical tools proposed by Environmental Economics, given that ecosystem goods and services do not constitute commodities that are offered and demanded in the real market. Without a doubt, the results obtained show the importance of this space for the inhabitants of the region and the need for an environmental awareness capable of reordering the current perception of contemporary society regarding the unsustainable use of natural resources.

At the same time, this study constitutes a support for local decision makers in terms of designing future actions for the protection and conservation of the park, as well as mechanisms that allow for the financing and integration of the ecosystem services of the Varginha Zoobotanical Park in the processes of urban and regional planning and sustainable land management.

 

REFERENCES

Azqueta, D. (1994). Valoración económica de la calidad ambiental. McGraw-Hill/Interamericana.

Azqueta, D., Alviar Ramírez, M., Domínguez Villalobos, L., & O´Ryan, R. (2007). Introducción a la Economía Ambiental (2.a ed.). McGraw-Hill/Interamericana.

Barros Donato, D., Oliveira Castro, R. V., Oliveira Carneiro, A. de C., Carvalho, A. M., Rocha Vital, B., & Cavalcante dos Santos, R. (2018). Sampling methods and number of roundwoods for determining the moisture content. Revista Árvore, 42(4), e420401. https://doi.org/10.1590/1806-90882018000400001

Blaen, P. J., MacDonald, M. A., & Bradbury, R. B. (2016). Ecosystem services provided by a former gravel extraction site in the UK under two contrasting restoration states. Conservation and Society, 14(1), 48-56. https://doi.org/10.4103/0972-4923.182803

Desta, Y., & Bersisa, M. (2019). Recreational Use Value of Lakes an Application of Travel Cost Method: A Case of Lake Ziway. International Journal of Economy, Energy and Environment, 4(3), 56-62. https://dx.doi.org/10.2139/ssrn.3433029

Grilli, G., Landgraf, G., Curtis, J., & Hynes, S. (2018). A travel cost evaluation of the benefits of two destination salmon rivers in Ireland. Journal of Outdoor Recreation and Tourism, 23, 1-7. https://doi.org/10.1016/j.jort.2018.02.004

Lima dos Santos, M., da Silva Miranda, L., dos Santos Barros, W., Cordeiro Costa, B., Silva de Oliveira, E., Dambrós Raddatz, D., & de Assis Oliveira, F. (2019). Comparação entre processos de amostragem para estimar o volume em uma florestal no município de Barcarena-PA. En Meio Ambiente: Inovação com Sustentabilidade (pp. 158-167). Editora Antena. https://doi.org/10.22533/at.ed.454190110

Loyola Gonzales, R. A., García Zamora, E. S., Abadia Salinas, N. C., Casana Ortega, I. C., Miyashiro Vidal, E. E., & Aramburú Inga, A. A. (2015). Guía nacional de valoración económica del patrimonio natural. Ministerio del Ambiente.

Marini Govigli, V., Górriz Mifsud, E., & Varela, E. (2019). Zonal travel cost approaches to assess recreational wild mushroom picking value: Trade-offs between online and onsite data collection strategies. Forest Policy and Economics, 102, 51-65. https://doi.org/10.1016/j.forpol.2019.02.003

Mohammadi, S., Ghesmati, H., Rashidi, R., & Yamini, N. (2014). Economic evaluation of natural forest park using the travel cost method (case study; Masouleh forest park, north of Iran). Journal of Forest Science, 60(6), 254-261. https://www.agriculturejournals.cz/publicFiles/125766.pdf

Parga Dans, E., & Alonso González, P. (2018). The Altamira controversy: Assessing the economic impact of a world heritage site for planning and tourism management. Journal of Cultural Heritage, 30, 180-189. https://doi.org/10.1016/j.culher.2017.09.007

Robert Egbenta, I. (2017). Application of Travel Cost Method to Valuation of Historic Building: Old Residence in Calabar, Nigeria. Middle-East Journal of Scientific Research, 25(10), 1925-1933. https://doi.org/10.5829/idosi.mejsr.2017.1925.1933

Sebold, S., & Silva, A. (2004). Uma aplicação do método dos custos de viagem para valoração de um parque ambiental. Revista Produção, 4(3). https://doi.org/10.14488/1676-1901.v4i3.312

Solikin, A., Abdul Rahman, R., Saefrudin, E., Suboh, N., Hafizah Zahari, N., & Wahyudi, E. (2019). Forest valuation using travel cost method (TCM): Cases of Pahang National Park and Srengseng Jakarta urban forest. Planning Malaysia, 17(9), 365-376. https://doi.org/10.21837/pm.v17i9.612

Tahzeeda, J., Khan, M. R., & Bashar, R. (2018). Valuation approaches to ecosystem goods and services for the National Botanical Garden, Bangladesh. Environmental & Socio-Economic Studies, 6(1), 1-9. https://doi.org/10.2478/environ-2018-0001

Torres Ortega, S., Pérez Álvarez, R., Díaz Simal, P., De Luis Ruiz, J. M., & Piña García, F. (2018). Economic Valuation of Cultural Heritage: Application of Travel Cost Method to the National Museum and Research Center of Altamira. Sustainability, 10(7), 2550. https://doi.org/10.3390/su10072550

Tyskowski Teodoro Rodrigues, K. C., da Silva Amaral, J. A., Abreu Sousa, K., Hernández Santoyo, A., & Piacenti, C. A. (2018). Estimación del valor de uso recreativo del Parque Ambiental "Horto Florestal" en Rio Branco, Acre. Revista Brasileira de Planejamento e Desenvolvimento, 7(5), 755-774. https://doi.org/10.3895/rbpd.v7n5.9059

Voltaire, L., Lévi, L., Alban, F., & Boncoeur, J. (2017). Valuing cultural world heritage sites: An application of the travel cost method to Mont-Saint-Michel. Applied Economics, 49(16), 1593-1605. https://doi.org/10.1080/00036846.2016.1221046

Zhang, F., Wang, X. H., Nunes, P. A. L. D., & Ma, C. (2015). The recreational value of gold coast beaches, Australia: An application of the travel cost method. Ecosystem Services, 11, 106-114. https://doi.org/10.1016/j.ecoser.2014.09.001

Zulpikar, F., Tambunan, L. A., Rahmi Utami, S., & El Kiyat, W. (2018). Economic Valuation of Marine Tourism in Small Island Using Travel Cost Method (Case Study: Untung Jawa Island, Indonesia). Omni-Akuatika, 14(1), 28-35. https://doi.org/10.20884/1.oa.2018.14.1.465

 

1 The Varginha Zoobotanical Park operates from Wednesday to Sunday, between the hours of 08:00 am - 2:00 pm.

2 The choice of a maximum permissible error of 10% was based on time and resource availability. In addition, the work of Barros et al., (2018) and Lima et al., (2019) were verified.

3 This "Maria Fumaça" train belongs to the generation of old steam locomotives.

4 This figure represents a value equivalent to USD 2 356 809.93 (Exchange rate in force on August 19, 2019: USD 1 = R$ 4.15).

 

Conflict of interest:

Authors declare not to have any conflict of interest.

 

Authors' contribution:

The authors have participated in the writing of the paper and the analysis of the documents.

 


This work is licensed under a Creative Commons Attribution-NonCommercial 4.0 International License
Copyright (c) José Ricardo Miotto Gabrielli, Alain Hernández Santoyo, Marcelo Lacerda Rezende