Cooperativismo y Desarrollo, mayo-agosto 2020; 8(2), 230-249

 

Valoración económica ambiental del Parque Zoobotánico de Varginha: Aplicación del Método de Costo de Viaje

 

Environmental economic assessment of the Varginha Zoobotanical Park: Application of the Travel Cost Method

 

Valoração econômica ambiental do Parque Zoobotânico de Varginha: Aplicação do Método do Custo da Viagem

 

José Ricardo Miotto Gabrielli1, Alain Hernández Santoyo2, Marcelo Lacerda Rezende3

1 Universidad Federal de Alfenas (UNIFAL-MG). Brasil. ORCID: https://orcid.org/0000-0001-7725-7144. Correo electrónico: jricardogabrielle@gmail.com
2 Universidad Federal de Alfenas (UNIFAL-MG). Brasil. ORCID: https://orcid.org/0000-0003-2766-7019. Correo electrónico: santoyocuba@gmail.com
3 Universidad Federal de Alfenas (UNIFAL-MG). Brasil. ORCID: https://orcid.org/0000-0003-1106-4176. Correo electrónico: marcelo.rezende@unifal-mg.edu.br

 

Recibido: 26 de marzo 2020.
Aprobado: 28 de mayo 2020.


RESUMEN

En las últimas décadas, la valoración económica ambiental se ha convertido en una herramienta útil y necesaria para los procesos de toma de decisiones que comprenden el aprovechamiento sostenible de los recursos naturales. Ante esta realidad, se decidió la realización del presente estudio, cuyo objetivo consistió en estimar el valor de uso recreativo del Parque Zoobotánico de Varginha, en el Estado de Minas Gerais, Brasil, único de su tipo en la región con presencia de especies de la flora y fauna brasileña y universal. Se utilizó el Método de Costo de Viaje, reconocido como uno de los más importantes en la estimación de preferencias reveladas, específicamente en la obtención del valor de uso recreativo de espacios naturales, a partir del cálculo de los costos de viaje asociados a sus visitas. Los datos para el estudio fueron obtenidos mediante la aplicación de un cuestionario online que permitió calcular el costo de desplazamiento, costo de permanencia, costo total de sus viajes, su respectiva curva de demanda, el excedente del consumidor y, con ello, la estimación de su valor de uso recreativo. Los resultados demostraron la importancia del parque para los habitantes de la región y, a su vez, representan una contribución relevante para el diseño de futuras políticas ambientales y el reordenamiento en la concepción acerca de la necesidad de una integración de los servicios ecosistémicos en la planificación del desarrollo local y regional.

Palabras clave: Método de Costo de Viaje; métodos de preferencias reveladas; valoración económica ambiental; Parque Zoobotánico de Varginha


ABSTRACT

In recent decades, environmental economic valuation has become a useful and necessary tool for decision-making processes involving the sustainable use of natural resources. In view of this reality, it was decided to carry out this study, for which the objective was to estimate the recreational use value of the Varginha Zoobotanical Park, in the State of Minas Gerais, Brazil, the only one of its kind in the region with the presence of species of Brazilian and universal flora and fauna. It was used the Travel Cost Method, recognized as one of the most important in estimating revealed preferences, specifically in obtaining the value of recreational use of natural areas, from the calculation of travel costs associated with their visits. The data for the study were obtained by applying an online questionnaire that allowed for the calculation of travel costs, permanence costs, total cost of their trips, their respective demand curve, the consumer's surplus and, thus, the estimation of their recreational use value. The results demonstrated the importance of the park for the inhabitants of the region and, in turn, represent a relevant contribution to the design of future environmental policies and the reordering of the conception about the need for an integration of ecosystem services in local and regional development planning.

Keywords: Travel Cost Method; revealed preference methods; environmental economic assessment; Varginha Zoobotanical Park


RESUMO

Nas últimas décadas, a valoração econômica ambiental tornou-se um instrumento útil e necessário para os processos de tomada de decisões que envolvem o aproveitamento sustentável dos recursos naturais. Diante essa realidade, foi realizado este estudo, cujo objetivo consistiu em estimar o valor de uso recreativo do Parque Zoobotânico de Varginha, no Estado de Minas Gerais, Brasil, único do seu tipo na região com a presença de espécies de flora e fauna brasileiras e universais. Utilizou-se o Método do Custo da Viagem, reconhecido como um dos mais importantes na estimativa das preferências reveladas, especificamente na obtenção do valor do uso recreativo de espaços naturais a partir do cálculo dos custos da viagem associados às suas visitas. Os dados do estudo foram obtidos através da aplicação de um questionário online que permitiu o cálculo dos custos da viagem, dos custos de permanência, do custo total das viagens, da respectiva curva de demanda, do excedente do consumidor e, com ele, a estimativa do seu valor de uso para fins recreativos. Os resultados demonstraram a importância do parque para os habitantes da região e, ao mesmo tempo, representam uma contribuição relevante para a formulação de futuras políticas ambientais e para a reordenação da concepção sobre a necessidade da integração dos serviços ecossistêmicos no planejamento do desenvolvimento local e regional.

Palavras-chave: Método do Custo da Viagem; métodos de preferência reveladas; valoração econômica ambiental; Parque Zoobotânico de Varginha


 

INTRODUCCIÓN

Un importante desafío para la ciencia económica contemporánea ha sido su constante preocupación por visibilizar todos aquellos beneficios o costos asociados a los cambios en los ecosistemas y que afectan el bienestar de los individuos en la sociedad, de manera que estos valores económicos puedan ser integrados en los procesos de toma de decisiones (Loyola Gonzales et al., 2015).

En este sentido, estimar el valor económico de estos bienes y servicios ecosistémicos exige relacionarlos con los posibles cambios que puedan ocasionar en las funciones de bienestar individual o social. Estos procesos constituyen una herramienta fundamental para una formulación adecuada de instrumentos de política ambiental capaces de conciliar el mantenimiento y conservación del medioambiente con el crecimiento económico (Tyskowski Teodoro Rodrigues et al., 2018).

Dichos estudios permiten estimar los valores del ecosistema y los servicios recreativos, aumentar la conciencia social, evaluar y seleccionar la mejor alternativa de política o proyecto que maximice el bienestar social, el diseño de políticas ambientales y la integración de los servicios ecosistémicos en la planificación del desarrollo a nivel local, regional y nacional. Asimismo, pueden aportar información para el diseño de instrumentos de regulación ambiental, diseño de mecanismos de financiamiento ambiental o bien conocer el valor monetario del flujo del patrimonio natural (Loyola Gonzales et al., 2015; Tahzeeda et al., 2018).

Es importante destacar que las metodologías de valoración económica de bienes y servicios ecosistémicos permiten medir o estimar las preferencias de los individuos y sus respectivas medidas de bienestar ante posibles cambios asociados al disfrute de un determinado servicio o, bien, ante una mejora o un deterioro de la calidad ambiental (Azqueta, 1994).

La medición de estas preferencias ante posibles cambios en relación con un bien o servicio ecosistémico implica la estimación de su función de bienestar, lo que supone una nueva conceptualización en la definición de valor económico para estos espacios. Este enfoque conduce hacia la teoría del Valor Económico Total, que comprende dos beneficios principales: valor de uso y valor de no uso. El valor de uso se refiere al uso, plan de uso o posible uso futuro de un bien o servicio, mientras que el valor de no uso o pasivo está relacionado con el valor de existencia, altruismo y valores heredados (Azqueta, 1994; Azqueta et al., 2007; Solikin et al., 2019; Tahzeeda et al., 2018).

Aquellos recursos que no disponen de un valor de mercado, como el valor estético, las funciones ecológicas o la función del uso del agua, generalmente no se comercializan en el mercado, por lo tanto, requieren de una valoración económica, esencialmente no vinculada al valor de mercado para determinar su valor (Desta & Bersisa, 2019).

Para determinar el valor de uso recreativo en el presente estudio, se utiliza el Método de Costo de Viaje (MCV) o Método de Clawson. El MCV permite estimar el valor de uso recreativo de algunos bienes o servicios que no es posible obtener a través del mercado, tales como: parques forestales, ecosistemas, playas, etc. (Mohammadi et al., 2014). Se asume que el valor de cierto bien o servicio ecosistémico está reflejado en los costos incurridos por sus usuarios para realizar una o más visitas, revelando sus preferencias individuales y su comportamiento real.

La investigación se desarrolló en el Parque Zoobotánico Dr. Mário Frota o Parque Zoobotánico de Varginha, como también se le conoce, que constituye uno de los principales atractivos turísticos y recreativos de la región. Su objetivo consistió en estimar el valor de uso recreativo del Parque Zoobotánico de Varginha, perteneciente a la región Sur del Estado de Minas Gerais, Brasil. Con vistas a dar cumplimiento al propósito trazado, el estudio se ha estructurado en tres secciones, incluyendo la presente introducción. En la segunda sección de Materiales y Métodos, se incorporan los aspectos teórico-metodológicos del método utilizado (MCV), con sus respectivos procedimientos de cálculo, obtención de datos y técnicas de muestreo. Finalmente, en la sección de Resultados y Discusión se presentan y discuten las principales contribuciones de la investigación.

 

MATERIALES Y MÉTODOS

La valoración económica de bienes y servicios ecosistémicos puede desarrollarse desde dos enfoques diferentes: métodos de preferencias reveladas y métodos de preferencias declaradas. Los métodos de preferencias reveladas se basan en el comportamiento de los individuos y en los datos obtenidos indirectamente, mientras que los de preferencias declaradas solicitan a los usuarios que ofrezcan directamente una medida de valor (definida por su disposición a pagar o a ser compensado, DAP o DAC respectivamente) por el recurso ambiental.

Entre los métodos de preferencias reveladas, se destacan aquellos basados en la función de producción, ya sea mediante la productividad marginal o bienes sustitutos, tales como: cambios de productividad, función dosis-respuesta, costos evitados, costo de reposición, análisis costo beneficio, método de costo de viaje (MCV), método de precios hedónicos (MPH), entre otros. Por su parte, los métodos de preferencias declaradas simulan mercados hipotéticos de forma directa para el usuario. Se reconocen algunos de gran utilización como: el método de valoración contingente (MVC), ordenación contingente (MOC), puntuación contingente (PC), experimentos de elección (EE), etc.

Ante la inexistencia de mercados reales para valorar aquellos bienes o funciones ambientales como el valor de uso recreativo de los parques naturales o urbanos y considerando la necesidad de descubrir la importancia que los individuos les conceden a estos espacios, se ha decidido la utilización del método de costo de viaje (MCV) como herramienta para la estimación del valor de uso recreativo del Parque Zoobotánico Dr. Mário Frota, en la ciudad de Varginha, Estado de Minas Gerais, Brasil.

Método de Costo de Viaje (MCV)

El Método de Costo de Viaje (MCV) o Método de Clawson constituye la metodología más antigua para determinar valores de algunos tipos de bienes que carecen de mercado. Su idea fue sugerida por Hotelling en 1947 y posteriormente introducida por Clawson en 1959. En la actualidad, diversos autores lo han utilizado para estimar valorares de usos recreativos, culturales, históricos, patrimoniales, turísticos o escénicos (Blaen et al., 2016; Grilli et al., 2018; Marini Govigli et al., 2019; Mohammadi et al., 2014; Robert Egbenta, 2017; Tahzeeda et al., 2018; Zhang et al., 2015).

El MCV permite estimar el valor de los beneficios que le aporta a un individuo la visita a una determinada área natural, basándose en los costos incurridos por el usuario para visitar el lugar. De esta forma, el valor de un recurso ambiental será estimado por los gastos ocasionados por la visita al sitio, incluido el transporte, el tiempo de viaje, la tarifa de entrada y otros gastos (Zulpikar et al., 2018).

Se establece una función que relaciona la tasa de visitas con las variables de costo de viaje, tiempo, tarifa de entrada, características socioeconómicas del visitante y otras que pueden explicar la visita al patrimonio natural. Los datos se obtienen a través de cuestionarios aplicados a una muestra de la población en el lugar de visita.

La idea del MCV es que el gasto realizado por las familias para trasladarse hacia un destino, generalmente para recreación, se puede utilizar como una representación de los beneficios proporcionados por esta recreación (Azqueta et al., 2007; Robert Egbenta, 2017; Torres Ortega et al., 2018; Voltaire et al., 2017).

Existen dos variantes clásicas del método: (1) Método de Costo de Viaje Zonal (MCVZ), cuyo propósito es estimar la propensión media por visitar un determinado destino desde las distintas zonas en que se divide su área de influencia; (2) Método de Costo de Viaje Individual (MCVI), que intenta descubrir la demanda individual por los servicios recreativos de un destino, realizando una encuesta a los visitantes (Mohammadi et al., 2014; Robert Egbenta, 2017; Voltaire et al., 2017). Su principal diferencia con el MCVZ es que emplea datos individuales en lugar de zonales, revelados a partir de las encuestas aplicadas a sus visitantes. En el caso específico del presente estudio, se ha utilizado la variante del MCVZ.

Cuando se utiliza el MCV, se asume que el valor de uso recreativo de un recurso natural se refleja en la disposición de los visitantes a pagar por su visita, de modo que su decisión implica la existencia de un excedente asociado a su consumo. Conjuntamente a la consideración de los problemas de costos, la calidad de las instalaciones recreativas y los factores demográficos (por ejemplo: edad, género, educación, ocupación), también afectarán la elección y la frecuencia de las visitas.

De esta forma, el método comprende una amplia gama de parámetros, los cuales son conciliados simultáneamente por los individuos en su decisión de realizar una visita al destino. Según la teoría de maximización de la utilidad, el problema de optimización que se presenta en el MCV puede describirse de la siguiente forma (Torres Ortega et al., 2018):

Máx U (q, I, z)

sa: TC * q + z = I

Donde:

U = utilidad obtenida a partir del consumo de una determinada cantidad del bien

I = renta

q = cantidad consumida del bien

z = corresponde al consumo de otros bienes

TC = costo del viaje

Siendo así, la demanda Marshalliana para un determinado destino se representa como:

R = f (q, TC, z, I)

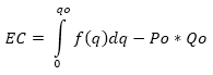
Cálculo del Excedente del Consumidor (EC)

El Excedente del Consumidor representa la diferencia entre la cantidad total que los consumidores están dispuestos a pagar y el valor total que realmente pagan por un determinado bien o servicio, siendo considerado como una medida ampliamente aceptada de beneficio social neto (Tahzeeda et al., 2018; Torres Ortega et al., 2018). Usando la función de demanda exponencial inversa, el Excedente del Consumidor para la demanda de visitas se determina como el área que se encuentra bajo la curva de demanda y por encima de su correspondiente precio de mercado; en este caso, el valor del costo de viaje.

Conociendo la curva de demanda del bien y su precio de mercado, es posible cuantificar el Excedente del Consumidor para dicho bien, una vez que se calcule el área limitada por la curva de demanda y su precio de mercado directo.

En términos analíticos, según Sebold y Silva (2004), el Excedente del Consumidor podrá determinarse de la siguiente forma:

a) Deseo Total (DT) a pagar del consumidor:

b) Costo o Gasto Real (CR):

c) Excedente del Consumidor (EC):

Procedimiento metodológico

El procedimiento utilizado en este trabajo corresponde al propuesto por Sebold y Silva (2004), adoptado en múltiples estudios para la estimación del valor de uso recreativo en parques naturales, tales como: el Parque Valle de Rosandra en Italia; el Parque Natural del Moncayo; Parque Nacional de Ordesa y Monte Perdido, en España; Parque Forestal Masouleh en Irán; Parque Nacional Marino Hikkaduwa, en Sri Lanka; Parque Nacional Pahang, en Malasia, entre otros.

Las diferentes etapas del procedimiento se definen a continuación:

a) Levantamiento del número de visitas (Vij): El número de visitas puede obtenerse mediante la aplicación de un cuestionario. La muestra de encuestados puede dividirse en grupos, zonas o distritos administrativos de acuerdo con su procedencia para determinar el lugar de origen de los visitantes. Es posible elegir una muestra representativa de cada ubicación.

b) Levantamiento de la tasa de visitas al parque: La tasa de visitas al parque también puede obtenerse analizando los datos del cuestionario. Como la recopilación de los datos se realiza a través de un cuestionario por familia, estos deben individualizarse en el cálculo. Para ello, el número total de personas por ciudad de origen tiene en cuenta el número de visitas, dividido por el número de familias.

c) Levantamiento del costo total de viaje: El costo total de viaje puede ser dividido en el costo de desplazamiento hasta el destino y el costo de permanencia o estadía. El costo de desplazamiento viene dado por el costo de transporte, basado en el consumo de combustible desde su ciudad de origen hasta el destino. El costo de permanencia o estadía consiste en los gastos de alojamiento, alimentación, entrada al parque y otros gastos de viaje adicionales. El costo del tiempo, que teóricamente se sugiere su evaluación, no fue considerado en este estudio debido a limitaciones con la obtención de la información.

d) Obtención de la curva de demanda: La estimación de la función de demanda de visitas para cada región utiliza el conjunto valores que describen el flujo de entrada al parque. La función se determina con la finalidad de relacionar el número de visitas a un destino con los costos totales que corresponden a sus visitas.

e) Estimación del valor de uso recreativo del Parque Zoobotánico de Varginha: A partir de la composición de los costos totales de viaje y las visitas realizadas al parque, es posible encontrar un conjunto de puntos que permiten obtener la curva de demanda de los usuarios del parque. Conociendo la demanda estimada, será posible calcular el "Excedente del Consumidor" obtenido durante el período estudiado. Dicho valor, que representa el área bajo esta curva, conjuntamente con la cantidad de familias que estarían dispuestas a pagar por visitar el destino, nos permite estimar el valor de uso recreativo del Parque Zoobotánico de Varginha.

Obtención de los datos y muestreo

Los datos fueron recolectados a través de la aplicación de un cuestionario online disponible para los habitantes de la ciudad de Varginha y regiones próximas durante el mes de julio de 2019, con el fin de obtener la percepción de la población local sobre el valor de uso recreativo del parque.

Se utilizó un Muestreo Aleatorio Simple (MAS) para la obtención del tamaño óptimo de muestra, incorporando las informaciones ofrecidas por el parque. De acuerdo con las estadísticas de este destino, el número de visitantes promedio diario oscila alrededor de 50 personas el cual, multiplicado por 51, representa una estimación de los visitantes por semana, alcanzando una población de 250 personas.

La obtención del tamaño de muestra se realizó por medio de la siguiente expresión, conforme Parga y Alonso (2018):

Donde:

N = Tamaño de la población

z 2 = Valor crítico para 1- (nivel de confiabilidad)

p = q = 0,5 Máxima variabilidad de la proporción

E = Error máximo permisible

En la investigación, fue usado un error máximo permisible del 10%2, con un nivel de confiabilidad del 95%, obteniéndose un tamaño óptimo de muestra de 70. Ante la ausencia de retorno por parte de los encuestados en el completamiento de los cuestionarios, el número de respuestas o cuestionarios inválidos, por diversas razones y la brevedad del tiempo disponible, solo fue posible alcanzar un total de 65 encuestas válidas, lo que identificamos como limitación de la investigación.

Dado que el objetivo del estudio estaba dirigido a estimar el valor de uso recreativo del Parque Zoobotánico de Varginha, de gran importancia para los habitantes de la región y considerando que la diferencia con el número de encuestas válidas obtenidas es realmente pequeña, unido a que el procedimiento se apoya en los datos poblacionales de cada región de origen, se procedió con el análisis de las encuestas. Por otra parte, existía una intención latente sobre la utilización del Método de Costo de Viaje como una herramienta de apoyo en los procesos de toma de decisiones a nivel local.

 

RESULTADOS Y DISCUSIÓN

El Parque Zoobotánico Dr. Mário Frota forma parte del conjunto de atractivos turísticos y recreativos de la ciudad de Varginha que gestiona la Secretaría Municipal de Turismo y Comercio (SETEC), perteneciente a la Prefectura Municipal de Varginha.

De acuerdo con datos ofrecidos por la Fundación Cultural de Varginha, fue creado en 1963 con la iniciativa del doctor Dr. Mário Frota de comprar tierras para albergar a los animales del Gran Circo Africano, con dificultades financieras en aquel momento. Posteriormente fue inaugurado en 1966 con la construcción de los primeros recintos de animales y en 1967, el área fue declarada de utilidad pública.

Su extensión cubre un área de aproximadamente 5 hectáreas (44 000 m²) y posee alrededor de 50 especies con cerca de 350 animales. En 1971, se firmó el acuerdo de cooperación con el Instituto Forestal del Estado (IEF), logrando la pavimentación del mismo y se recibió de la Red de Ferrocarriles el Tren "María Fumaça"3, que aún se encuentra presente en el local. Originalmente se denominó "Parque Zoobotânico Bravo da Câmara", como reconocimiento al aviador varginhense que participó en varias misiones en el Amazonas, conjuntamente con el Dr. Frota. Posteriormente en 1981, tras el fallecimiento del Dr. Mário Frota, el parque cambió de nombre en honor a este reconocido médico.

En la figura 1, se presenta su localización, destacando su fácil acceso para los visitantes desde diferentes ciudades de origen. Dada su vegetación exuberante, el parque constituye un espacio agradable para disfrutar de actividades de ocio y realizar múltiples actividades educativas.

Fig. 1 - Localización del Parque Zoobotánico Dr. Mário Frota
Fuente: Adaptado por los autores a partir de informaciones ofrecidas por la Secretaría Municipal de Planificación Urbana - Prefectura Municipal de Varginha

Una vez aplicados los cuestionarios a los visitantes del área objeto de estudio, fue posible conocer cuáles fueron las principales ciudades de procedencia de los visitantes, el número de grupos familiares, sus costos totales en el destino y la cantidad de visitas realizadas al mismo, como muestra la tabla 1.

Al analizar esta tabla, se verifica que, en la gran mayoría de los casos, las personas que visitaron el parque eran residentes locales de la ciudad de Varginha. Por otro parte, los visitantes de estos grupos, que respondieron el cuestionario, no vivían en Varginha o vivían temporalmente en la ciudad, no habían visitado antes el destino. Una muestra de ello lo constituye el grupo de estudiantes encuestados de la Universidad Federal de Alfenas (UNIFAL-MG), Campus Varginha, en el que muchos de sus alumnos proceden de múltiples ciudades, incluso de otros estados, pero viven temporalmente en la ciudad.

Tabla 1 - Descripción de los visitantes del parque

No.

Ciudad de origen

Grupos

Cant. personas

Costos

Visitas

1

Varginha

63

145

623,00

113

2

Três Corações

2

3

25,00

2

3

Elói Mendes

1

1

5,00

1

4

Monsenhor Paulo

0

0

0,00

0

5

Três Pontas

1

2

9,00

1

6

Paraguaçu

0

0

0,00

0

7

Alfenas

0

0

0,00

0

8

Campanha

0

0

0,00

0

9

Carmo da Cachoeira

0

0

0,00

0

10

Otros

1

4

10,00

3

Totales

65

152

658

118

Fuente: Elaborado por los autores a partir de los datos del cuestionario

Observando este hecho, se evidencia que casi todos los encuestados tienen su origen en Varginha y que el resto de las ciudades de la región apenas poseen participación debido, principalmente, a diversos factores asociados a la gestión del parque.

Para resolver esta situación, se optó por un enfoque que utilice los datos de Varginha como referencia para estimar los restantes valores, sin tener en cuenta los valores "ausentes" o la discreta representación del resto de las ciudades.

Para el cálculo de los datos de las ciudades de origen, se consideró el costo promedio por familia o grupo en la ciudad de Varginha, que fue de R$ 10,00 (Tabla 1 - fila 1). Este cálculo se obtuvo mediante el cociente de los costos de los visitantes en el parque, actualmente residentes en Varginha, que fue de R$ 623,00 y el número de grupos, que fue de 63 familias. Para el caso de la tasa de visitas, se tuvo en cuenta el número de visitas (113), dividido por el número de familias (63), alcanzando una tasa promedio de 1,79 visitas por año.

De acuerdo con el enfoque considerado en este estudio, los cálculos presentados anteriormente se utilizaron en la tabla 2 como parámetros para obtener el costo de permanencia por grupos o familias y la tasa promedio de visitas para cada una de las ciudades de origen.

Los datos de distancia en la primera columna fueron obtenidos, con la utilización de las rutas descritas por "Google Maps" desde el punto de referencia central de cada una de las ciudades hasta la entrada principal del parque. Para la estimación del costo por kilómetro, equivalente a R$ 0,36, se utilizó el punto medio entre los valores de etanol (R$ 2,80) y gasolina (R$ 4,40), asumiendo que la autonomía de los vehículos es de alrededor de 10 km/l, pues la mayoría de los encuestados usaron un automóvil para llegar al destino.

Tabla 2 - Costos y visitas según ciudades de origen

Ciudad de origen

Distancia1
(km)

Costo/km

Costo Despla.
(R$)

Costo
Perm/grupo
(R$)

Costo total de viaje
(R$)

Tasa de visitas
(año)

Varginha

8

0,36

2,88

10,00

12,88

1,79

Três Corações

66

0,36

23,76

17,33

41,09

0,22

Elói Mendes

36

0,36

12,96

14,00

26,96

0,40

Monsenhor Paulo

82

0,36

29,52

19,11

48,63

0,18

Três Pontas

62

0,36

22,32

16,89

39,21

0,23

Paraguaçu

76

0,36

27,36

18,44

45,80

0,19

Alfenas

136

0,36

48,96

25,11

74,07

0,11

Campanha

92

0,36

33,12

20,22

53,34

0,16

Carmo da Cachoeira

72

0,36

25,92

18,00

43,92

0,20

Otros

180

0,36

64,80

30,00

94,80

0,08

1 La distancia en kilómetros incluye el trayecto de ida y regreso

Fuente: Elaborado por los autores a partir de los datos del cuestionario

De esta forma, el costo de desplazamiento al Parque Zoobotánico de Varginha se calcula multiplicando la distancia entre cada ciudad de origen con el mismo y los gastos por kilómetro recorrido.

El consumo de las familias en el parque o costo de permanencia de las familias/grupos se obtuvo a partir del consumo de Varginha, como punto de referencia, cuyo valor estimado asciende a R$ 10,00. A su vez, también se consideró que las familias que vendrían de lugares más distantes poseen una mayor probabilidad de consumir en el destino (coeficiente o razón de incremento dado por la función de distancia), producto del desgaste del viaje y los recursos limitados durante la ruta, lo cual podría inducir a las personas a esperar la llegada al destino para comer y comprar consumibles (función del grado de ansiedad o placer sobre el consumo).

Considerando las premisas señaladas y utilizando como suposición que la distancia entre la ciudad más alejada y el parque generaría, según Sebold y Silva (2004), una expectativa de consumo adicional de R$20,00 para ciudades entre 0 y 250 km, la estimación del valor de consumo de cada ciudad se obtiene a través de la expresión: R$20,00 de consumo adicional dividido por la distancia hasta la ciudad más alejada (180 km), este cociente, multiplicado por la distancia (ida y regreso) desde la ciudad objeto de análisis hasta el parque y, finalmente, sumado al consumo por grupo de Varginha (R$ 10,00).

Para un mejor entendimiento, tomamos como ejemplo la ciudad de Três Corações, cuya distancia (ida y regreso) hasta el parque es de 66 km. El cálculo comienza con el valor de R$20,00 como consumo adicional, luego se divide por 180 km (0,111), lo multiplicamos por la distancia desde Três Corações hasta el parque (0,111 x 66 = 7,326) y se suma al consumo de Varginha (7,326 + R$ 10,00 = R$ 17,33, como se muestra en la tabla 2.

En relación con la estimación de la tasa de visitas por año, conforme fue explicado anteriormente, resulta de la razón entre el número de visitas y la cantidad de grupos o familias. Al igual que para el cálculo del costo de permanencia de las familias, se utilizó el consumo de Varginha como punto de referencia, pero, en este caso, existe una función inversa a la explicada en relación con el costo de permanencia y la distancia, es decir, cuanto mayor sea la distancia, menor será el interés por las visitas al parque durante el año. De esta forma, la estimación de la tasa de visitas por año se obtiene mediante la expresión: distancia desde la ciudad de Varginha hasta el parque, dividida por la distancia desde la ciudad que se analiza; todo esto multiplicado por la tasa de visitas por año que posee Varginha.

Como ejemplo, tomamos nuevamente la ciudad de Três Corações. El cálculo consiste en la distancia de Varginha al parque (8 km) dividida por la distancia de Três Corações al parque (66 km) y este cociente se multiplica por la tasa de visitas de Varginha (1,79), alcanzando una tasa de 0,22 visitas por año desde Três Corações.

A partir de los valores estimados en la tabla 2, tomando como base los datos primarios provenientes de los resultados de la encuesta, es posible estimar la curva de demanda para las visitas al Parque Zoobotánico de Varginha, representada en la figura 2.

Fig. 2 - Curva de demanda para las visitas al parque
Fuente: Elaborado por los autores a partir de los datos del cuestionario

Obsérvese que la curva de demanda sobre las visitas al parque, presentada en la figura 2, describe una función genérica de demanda Marshalliana. Siendo así, es posible definir una función general tal como sigue:

Donde:

C = Costo promedio por familia/grupo familiar

N = Número medio de visitas por familia/grupo familiar

= Parámetro de la función

t = Tasa de incremento de la función

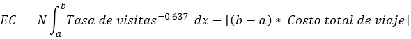
Para identificar el Excedente del Consumidor, es decir, el área bajo la curva de demanda de Marshall, se utiliza el cálculo de integración de la función de demanda estimada de la siguiente forma:

v = Límite inferior de la tasa de visitas

V = Límite superior de la tasa de visitas

Al comparar la función genérica de demanda Marshalliana con la función exponencial inversa encontrada en este estudio, que tiene la forma: Costos totales = 16,708 visitas -0,635, cuyo coeficiente de determinación es aproximadamente del 95%, podemos asumir la viabilidad del ajuste de curva encontrado.

Por lo tanto, la siguiente expresión puede ser usada para calcular el Excedente del Consumidor:

La participación de cada ciudad de la región en la formación del Excedente del Consumidor puede obtenerse tal como se muestra en la tabla 3. Para ello, fue necesario utilizar los datos referentes a la población estimada de cada una de las ciudades de origen, de acuerdo con las informaciones ofrecidas por el Instituto Brasileño de Geografía y Estadística (IBGE), al cierre de diciembre de 2019.

En relación con el promedio de personas por familia o grupos familiares que visitan el parque, se tomó como referencia a la ciudad de Varginha, dada su representatividad en el conjunto analizado.

Tabla 3 - Estimación del Excedente del Consumidor

Ciudad de origen

Pob.1

PF2

NF33

Vi4

CT5

EC/F6

EC Total

Varginha

135 558

2,3

58 938,26

1,79

12,88

16,17

953 031,66

Três Corações

79 482

2,3

34 557,39

0,22

41,09

2,36

81 555,44

Elói Mendes

28 076

2,3

12 206,96

0,40

26,96

5,88

71 776,92

Monsenhor Paulo

8 688

2,3

3 777,39

0,18

48,63

1,39

5 250,57

Três Pontas

56 746

2,3

24 672,17

0,23

39,21

2,66

65 627,97

Paraguaçu

21 513

2,3

9 353,48

0,19

45,80

1,70

15 900,92

Alfenas

79 996

2,3

34 780,87

0,11

74,07

0,02

695,62

Campanha

16 665

2,3

7 245,65

0,16

53,34

0,96

6 955,82

Carmo da Cachoeira

12 170

2,3

5 291,30

0,20

43,92

1,94

10 265,12

Otros

150 000

2,3

65 217,39

0,08

94,80

0,00

0,00

Totales

 

 

256 040,87

 

 

 

1 211 060,05

1 Población estimada al cierre de 2019
2 Promedio de personas por familia o grupos familiares que visitan el parque
3 Número de familias o grupos familiares
4 Tasa de visitas por año
5 Costo total de viaje (R$)
6 Excedente del Consumidor por familias o grupos familiares (R$)

Fuente: Elaborado por los autores a partir de los datos del cuestionario

En el caso del cálculo del Excedente del Consumidor por familia o grupo familiar de cada ciudad, se utilizó la siguiente:

Si tomamos como ejemplo la ciudad de Três Pontas, observamos que su límite superior para la tasa de visitas es de 0,23 y el límite inferior es de 0,08, cuyo valor permanece constante para todas las regiones. El parámetro de la función estimada es de 16,594, la tasa de incremento es -0,637 por tratarse de una función exponencial inversa y el valor del costo total de viaje asociado a esta ciudad es de R$ 39,21. Con estos datos, el cálculo del Excedente del Consumidor para la ciudad de Três Pontas puede obtenerse como:

La estimación del Excedente Total se define como el producto del Excedente del Consumidor por familia o grupo familiar de cada ciudad de origen y el número de familias o grupos familiares. Por ejemplo, el Excedente Total para la ciudad de Carmo da Cachoeira es: 5 291,30 x R$1,94 = R$10 265,12.

Una vez estimado este valor para una de las ciudades, se obtiene el Excedente Total de los visitantes del parque por medio de la sumatoria de los valores específicos de cada ciudad. Este valor asciende a R$ 1 211 060,05 contemplando los costos totales de los visitantes por concepto de desplazamiento y permanencia en el destino.

Sin embargo, para la estimación del valor del Deseo Total (DT) a pagar de los visitantes del parque, se utiliza la siguiente expresión definida anteriormente para el Excedente del Consumidor de todos los visitantes de la región, obteniéndose el siguiente resultado:

Este valor representa la disposición media a pagar por familia de toda la región estudiada. Por lo tanto, si multiplicamos este valor por la cantidad de familias o grupos familiares de la región, se obtiene el Deseo Total a pagar para toda la comunidad, es decir: R$ 38,20 x 256 040,87 = R$ 9 780 761,234.

Desde una percepción económica, este resultado significa la disposición o Deseo Total a pagar de los usuarios potenciales de la región por el disfrute del Parque Zoobotánico de Varginha. En otras palabras, representa la estimación del valor de uso recreativo que los visitantes le atribuyen al destino, por el cual estarían dispuestos a pagar, una vez que forma parte del conjunto de atributos de su función de bienestar.

Este resultado no puede ser entendido como un valor de mercado asociado al Parque Zoobotánico de Varginha, sino como una aproximación hacia su verdadero valor de uso, específicamente recreativo, a través de una de las herramientas analíticas que propone la Economía Ambiental, dado que los bienes y servicios ecosistémicos no constituyen mercancías que se ofertan y demandan en el mercado real. Sin duda alguna, los resultados obtenidos demuestran la importancia de este espacio para los habitantes de la región y la necesidad de una conciencia ambiental capaz de reordenar la actual percepción de la sociedad contemporánea sobre el uso insostenible de los recursos naturales.

Al mismo tiempo, este estudio constituye un soporte para los tomadores de decisión local en función del diseño de futuras acciones de protección y conservación del parque, así como de mecanismos que permitan el financiamiento e integración de los servicios ecosistémicos del Parque Zoobotánico de Varginha en los procesos de planificación urbana, regional y ordenamiento territorial sostenible.

 

REFERENCIAS BIBLIOGRÁFICAS

Azqueta, D. (1994). Valoración económica de la calidad ambiental. McGraw-Hill/Interamericana.

Azqueta, D., Alviar Ramírez, M., Domínguez Villalobos, L., & O´Ryan, R. (2007). Introducción a la Economía Ambiental (2.a ed.). McGraw-Hill/Interamericana.

Barros Donato, D., Oliveira Castro, R. V., Oliveira Carneiro, A. de C., Carvalho, A. M., Rocha Vital, B., & Cavalcante dos Santos, R. (2018). Sampling methods and number of roundwoods for determining the moisture content. Revista Árvore, 42(4), e420401. https://doi.org/10.1590/1806-90882018000400001

Blaen, P. J., MacDonald, M. A., & Bradbury, R. B. (2016). Ecosystem services provided by a former gravel extraction site in the UK under two contrasting restoration states. Conservation and Society, 14(1), 48-56. https://doi.org/10.4103/0972-4923.182803

Desta, Y., & Bersisa, M. (2019). Recreational Use Value of Lakes an Application of Travel Cost Method: A Case of Lake Ziway. International Journal of Economy, Energy and Environment, 4(3), 56-62. https://dx.doi.org/10.2139/ssrn.3433029

Grilli, G., Landgraf, G., Curtis, J., & Hynes, S. (2018). A travel cost evaluation of the benefits of two destination salmon rivers in Ireland. Journal of Outdoor Recreation and Tourism, 23, 1-7. https://doi.org/10.1016/j.jort.2018.02.004

Lima dos Santos, M., da Silva Miranda, L., dos Santos Barros, W., Cordeiro Costa, B., Silva de Oliveira, E., Dambrós Raddatz, D., & de Assis Oliveira, F. (2019). Comparação entre processos de amostragem para estimar o volume em uma florestal no município de Barcarena-PA. En Meio Ambiente: Inovação com Sustentabilidade (pp. 158-167). Editora Antena. https://doi.org/10.22533/at.ed.454190110

Loyola Gonzales, R. A., García Zamora, E. S., Abadia Salinas, N. C., Casana Ortega, I. C., Miyashiro Vidal, E. E., & Aramburú Inga, A. A. (2015). Guía nacional de valoración económica del patrimonio natural. Ministerio del Ambiente.

Marini Govigli, V., Górriz Mifsud, E., & Varela, E. (2019). Zonal travel cost approaches to assess recreational wild mushroom picking value: Trade-offs between online and onsite data collection strategies. Forest Policy and Economics, 102, 51-65. https://doi.org/10.1016/j.forpol.2019.02.003

Mohammadi, S., Ghesmati, H., Rashidi, R., & Yamini, N. (2014). Economic evaluation of natural forest park using the travel cost method (case study; Masouleh forest park, north of Iran). Journal of Forest Science, 60(6), 254-261. https://www.agriculturejournals.cz/publicFiles/125766.pdf

Parga Dans, E., & Alonso González, P. (2018). The Altamira controversy: Assessing the economic impact of a world heritage site for planning and tourism management. Journal of Cultural Heritage, 30, 180-189. https://doi.org/10.1016/j.culher.2017.09.007

Robert Egbenta, I. (2017). Application of Travel Cost Method to Valuation of Historic Building: Old Residence in Calabar, Nigeria. Middle-East Journal of Scientific Research, 25(10), 1925-1933. https://doi.org/10.5829/idosi.mejsr.2017.1925.1933

Sebold, S., & Silva, A. (2004). Uma aplicação do método dos custos de viagem para valoração de um parque ambiental. Revista Produção, 4(3). https://doi.org/10.14488/1676-1901.v4i3.312

Solikin, A., Abdul Rahman, R., Saefrudin, E., Suboh, N., Hafizah Zahari, N., & Wahyudi, E. (2019). Forest valuation using travel cost method (TCM): Cases of Pahang National Park and Srengseng Jakarta urban forest. Planning Malaysia, 17(9), 365-376. https://doi.org/10.21837/pm.v17i9.612

Tahzeeda, J., Khan, M. R., & Bashar, R. (2018). Valuation approaches to ecosystem goods and services for the National Botanical Garden, Bangladesh. Environmental & Socio-Economic Studies, 6(1), 1-9. https://doi.org/10.2478/environ-2018-0001

Torres Ortega, S., Pérez Álvarez, R., Díaz Simal, P., De Luis Ruiz, J. M., & Piña García, F. (2018). Economic Valuation of Cultural Heritage: Application of Travel Cost Method to the National Museum and Research Center of Altamira. Sustainability, 10(7), 2550. https://doi.org/10.3390/su10072550

Tyskowski Teodoro Rodrigues, K. C., da Silva Amaral, J. A., Abreu Sousa, K., Hernández Santoyo, A., & Piacenti, C. A. (2018). Estimación del valor de uso recreativo del Parque Ambiental "Horto Florestal" en Rio Branco, Acre. Revista Brasileira de Planejamento e Desenvolvimento, 7(5), 755-774. https://doi.org/10.3895/rbpd.v7n5.9059

Voltaire, L., Lévi, L., Alban, F., & Boncoeur, J. (2017). Valuing cultural world heritage sites: An application of the travel cost method to Mont-Saint-Michel. Applied Economics, 49(16), 1593-1605. https://doi.org/10.1080/00036846.2016.1221046

Zhang, F., Wang, X. H., Nunes, P. A. L. D., & Ma, C. (2015). The recreational value of gold coast beaches, Australia: An application of the travel cost method. Ecosystem Services, 11, 106-114. https://doi.org/10.1016/j.ecoser.2014.09.001

Zulpikar, F., Tambunan, L. A., Rahmi Utami, S., & El Kiyat, W. (2018). Economic Valuation of Marine Tourism in Small Island Using Travel Cost Method (Case Study: Untung Jawa Island, Indonesia). Omni-Akuatika, 14(1), 28-35. https://doi.org/10.20884/1.oa.2018.14.1.465

 

1 El Parque Zoobotánico de Varginha funciona de miércoles a domingo, en el horario comprendido entre las 08:00 am - 2:00 pm.

2 La elección de un error máximo permisible del 10% estuvo fundamentada en virtud del tiempo y de la disponibilidad de recursos. Se verificaron además, los trabajos de Barros et al., (2018) y Lima et al., (2019).

3 Este tren “María Fumaça” pertenece a la generación de locomotoras antiguas movidas a vapor.

4 Esta cifra representa un valor equivalente a 2 356 809,93 USD (Tasa de cambio vigente con fecha 19 de agosto de 2019: 1 USD = R$ 4,15).

 

Conflicto de intereses:

Los autores declaran no tener conflictos de intereses.

 

Contribución de los autores:

Los autores han participado en la redacción del trabajo y análisis de los documentos.

 


Esta obra está bajo una licencia Creative Commons Reconocimiento-NoComercial 4.0 Internacional
Copyright (c) José Ricardo Miotto Gabrielli, Alain Hernández Santoyo, Marcelo Lacerda Rezende